注册帐号丨忘记密码?
1.点击网站首页右上角的“充值”按钮可以为您的帐号充值
2.可选择不同档位的充值金额,充值后按篇按本计费
3.充值成功后即可购买网站上的任意文章或杂志的电子版
4.购买后文章、杂志可在个人中心的订阅/零买找到
5.登陆后可阅读免费专区的精彩内容
打开文本图片集
文献标志码:A
0引言
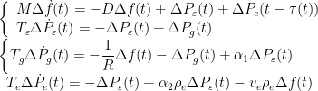
在当今高度依赖电能的社会结构中,电力系统的稳定性与可靠性不仅是国民经济繁荣的关键驱动力,更是保障公众生活质量不可或缺的基石[1-4].负荷频率作为衡量电力系统运行状况的核心指标之一,其精准调控对于维护电网的平衡至关重要.在此背景下,负荷频率控制(LFC)作为一种新兴且广泛应用(剩余8497字)
登录龙源期刊网
购买文章
具有时变延迟和脉冲效应的含储能单元的电力系统滑模负荷频率控制
文章价格:5.00元
当前余额:100.00
阅读
您目前是文章会员,阅读数共:0篇
剩余阅读数:0篇
阅读有效期:0001/1/1 0:00:00