中国集体经济

中国集体经济

2022年16期
  • 收藏
收藏成功
微博 空间 微信
《中国集体经济》是由中国工业合作经济学会主办的国家级刊物,中国合作经济类核心期刊,国际刊号:ISSN1008-1283,...     展开

类型

旬刊

类别

商业财经
定价
促销信息
全年订阅更优惠!
¥15.00 ¥9.00
目录

城乡建设

农户参与农旅融合的意愿及其影响因素分析
摘要:农旅融合是实施乡村振兴战略,实现农业农村现代化的重要途径,农户的参与意愿是推进农旅融合发展的重要因素。文章基于成都市郫都区的调研数据,运用Logistic模型对农户参与农旅融合意愿的影响因素进行分析。通过对模型回归结果的分析,发现农户...
乡村振兴视角下广西农村生态文明建设路径探索
摘要:全面实施乡村振兴战略是脱贫攻坚任务完成之后农村的重点工作,生态兴是乡村振兴的重要内容。伴随国家经济发展,广西农村发展取得重大成效,但随之出现破坏环境、资源浪费等生态问题,亟需解决。文章通过分析广西农村生态文明建设的现状,结合广西当地实...
温州市打造乡村振兴2.0版本的探索
摘要:《中华人民共和国乡村振兴促进法》的出台,标志着乡村振兴进入了2.0版本。浙江省温州市地处我国东南沿海,正在以争创农业农村现代化先行市为目标,扬长板、补短板,着重从补齐共同富裕短板、加快推进农业农村现代化、加快未来乡村建设、推进乡村文旅...

经济观察

大数据视角下供应链管理风险成因及对策分析
摘要:近几年,大数据概念的出现为供应链管理相关理论的快速发展带来了不小的挑战和转机,供应链管理发展具备了新思路的同时,也极大地加剧了各个供应链公司之间的竞争。大数据的发展浪潮使商业模式与企业经营运作流程之间的关系产生了根本性改变,在这样的背...
基于DEA的我国军民融合区域创新效率研究
摘要:文章以2018年我国20个军民融合产业基地所在城市为样本,采用DEA模型,对我国军民融合区域创新效率进行了评价。通过对评价结果分析得到我国军民融合区域创新效率参差不齐且总体偏低、纯技术效率是影响我国军民融合区域创新效率的主要因素等结论...
加快培育先进制造业集群推动工业经济高质量发展
摘要:所谓“先进制造业集群”,即在一个区域内围绕先进制造领域密切联系的企业与结构合作共生的网络化产业组织形态,其产生是制造业向高质量发展的重要标志之一。就目前而言,先进制造业集群主要具有将产业、企业及技术、人才等因素聚集融合发展的优势,较之...
短视频和直播新媒体时代品牌运营与经济分析
摘要:短视频产生巨大经济价值,有着巨大的商业价值可待挖掘,2022年进入了一个剧烈变革的时代,虽然当前承压于疫情、宏观经济、政策监管等因素, WEB3.0与消费者直接建立新的沟通场景,这已经成为当前热点趋势,作为企业应在短视频、直播和社群等...
“十四五”我国天然气发电产业发展及经济性分析
摘要:“十四五”是我国实现“碳中和”目标的关键时期,也是加快构建以新能源为主体的新型电力系统的重要转型期。因此,在新能源的利用和规划上,最应重视的是“新”的意义。不仅要彰显出新的征程、新的挑战、新的模式和理念,还要重点体现“十四五”国家能源...
昆曼大通道贸易便利化水平测度分析
摘要:“一带一路”背景下沿线的各个国家都在努力创建和加强互联互通伙伴关系,昆曼大通道成为云南融入和服务国家“一带一路”、推进与周边国家建立互联互通伙伴关系进程的重要基础设施,因此测度昆曼大通道的贸易便利化水平对发挥云南的区位优势具有重要的意...
基于主成分分析法的新疆紧贴民生推动高质量发展水平测度分析
摘要:文章以“创新、协调、绿色、开放、共享”新发展理念为指导,构建了新疆紧贴民生推动高质量发展的评价指标体系,用主成分分析法(GPCA)对2012~2018年新疆维吾尔自治区及其14个地州高质量发展水平进行测度,分析其演变规律与问题短板。关...
聚焦“四新经济”孕育徐州高新区发展新动能
受疫情及国际形势影响,当前我国经济下行的压力较大,“四新经济”的蓬勃发展有利于加快推动科技创新、汇聚经济发展能量、释放改革发展活力。徐州高新区要积极抢抓四新经济孕育兴起的“窗口期”,全面营造经济繁荣发展的生态环境,着力推动“四新经济”发展,...

战略研究

粤港澳大湾区建设对珠三角传统渡口发展的影响
摘要:改革开放以来,珠三角经济社会建设的迅速发展离不开该区域众多传统渡口客货运输功能的发挥。随着珠三角桥梁建设的发展及其他因素,这些传统渡口陆续陷入停运之境,而粤港澳大湾区战略的实施一定程度上又加速了该进程。但是另一方面,粤港澳大湾区建设的...

管理创新

基于税收视角的土地管理分析
摘要:税收征管作为土地管理的重要补充和经济调节手段,近年来在持续进行制度改革、优化纳税服务的同时,自主申报税率错误、申报不实及集体土地少申报、不申报的问题日益增多。文章在对土地综合管理体系整理的基础上,对我国土地税收现状进行了实证分析,结合...
企业内部控制审计研究
摘要:企业的长期稳定发展离不开内部控制审计的支撑,所谓“得控则强”,在企业内部开展控制审计工作,能够对其内部控制体系设计及执行效果进行监督评价,第一时间发现企业内部控制管理工作中存在的不足,并快速做出反应,对存在的问题进行改进和完善。内部控...
论如何做好农村集体资产清产核资工作
摘要:我国的社会主义特色国情决定了目前农村集体资产作为全体农民群众的重要劳动成果,理应受到相应的法律保护。目前,我国拥有9亿多农民,农民、农村、农业作为“三农”中主要因素,历来受到党中央的关注。农村集体经济体系中,所有的农村集体资产成为广大...
国有企业资产管理存在的问题及对策分析
摘要:为满足当前时代背景下人民日益增长的美好生活需要,我国政府正在积极进行经济体制改革,其中,国有企业作为国家传统经济体系的重要组成部分,是我国重要的经济命脉,对其内部进行现代化管理手段改革是响应当前时代发展需要的必然选择。然而,当前大部分...
全面预算管理体系下企业预算成本管理及控制
摘要:企业的财务预算管理直接影响到公司在市场中的经济发展。全面预算管理体系可以对企业的成本进行全流程的管理,可以在事前预测、事中控制、事后调节等方面进行有效的控制,以保证企业的预算费用能够得到最大限度的利用。在社会主义市场经济体制下,预算管...
新能源企业经济运行管理创新探析
摘要:随着可持续发展理念的持续深入,新能源技术逐渐成为社会发展的主流趋势,新能源企业也进入了蓬勃发展的阶段。在新能源企业爆发式发展阶段,由于集中一切力量发展生产力,导致市场上出现供大于求的现象,产能过剩也成为新能源企业面临的发展困境。为突破...
初探人才测评技术在无线电管理领域的应用
摘要:作为高新技术产业的无线电管理领域,各机构间的竞争实际是科技人才的竞争,因此识别、引进、培养、保留高层次、高素质的科技人才是增强无线电管理机构核心竞争力的关键。而人才测评技术这种先进、科学的工具,可以对科技人才做出相对客观、全面的评价,...
新形势下特检机构国有资产管理问题及对策
摘要:特种设备涉及人民群众的生命和财产安全,与社会进步和经济发展息息相关。特检机构国有资产是确保特种设备安全的重要物质基础和能力保障。2021年3月17日国务院总理李克强签署国务院令,公布了《行政事业性国有资产管理条例》。在这样的新形势下,...
经济新常态视域下工商管理职能及实施策略
摘要:基于经济新常态背景下,工商管理工作开展过程应结合具体工作实际,重视协同工作的开展,以此发挥出工商管理工作的作用。只有实现工商管理工作与经济协同发展,才能提升工商管理工作的效率,实现职能方面的创新。在新时期,我国对工商管理职能的创新更为...
财务信息化环境下的企业内部控制重难点分析
摘要:随着我国进入新的时代,我国市场经济体制的改革也面临着新态势,可以说各行业发展越来越好的背景下,我国各企业为了能够获得更多的生存空间必须要加强对自身管理体制的改革,提高自身的竞争能力。在这一背景下,虽然我国很多企业都对自身的生产、销售、...

经营之道

国有企业招标采购制度建设研究
摘要:在我国,政府采购注重规范性,企业采购更强调企业自身效益,而我国国有企业的采购性质介于市场化的企业采购和强制性的政府采购之间,而不同行业的国企又略有区别。对于国企而言,采购的核心是节约与合规。节约成本就是在创造利润。采购又是腐败的易发地...
电网企业废变压器油及含油废弃物处置创新
摘要:电网企业废变压器油及含油废弃物经济、环保处置方面长期面临着各种难题。随着我国环保政策日趋严格,电网企业构建绿色、规范的废变压器油及含油废弃物的精细化处置管理模式势在必行。通过分析电网企业在废变压器油及含油废弃物处置管理现状中存在的问题...
广东中小企业创新资源获得路径分析
摘要:广东省已连续多年位居我国经济第一大省,其中,广东中小企业所起的作用不容小觑。不管是国家层面还是广东省层面,都支持中小企业进行创新。广东省中小企业创新离不开充足的资金保障、适合的人才以及有效的市场需求,而在这几个方面,都还存在一定的问题...

理论探讨

高质量关系、自我效能感与新创企业创业绩效
摘要:在关系协调理论视角下,高质量关系对创业绩效的影响一直深受学者们的关注,但尚未有研究关注高质量关系对新创企业创业绩效的影响,为了厘清高质量关系对新创企业创业绩效的作用机制,研究以自我效能感为中介变量、创业网络规模为调节变量,构建了高质量...
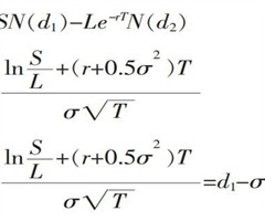
使用B-S期权定价模型的企业资本结构优化策略
摘要:资本结构受到多种因素的影响,文章研究的重点是考虑代理成本公司的资本结构。期权理论的引入和Black-Scholes期权定价模式为公司决策提供了一种科学可行的途径。关键词:资本结构优化;B-S期权定价模型;代理成本一、理论基础(一)权衡...
机会成本的应用
摘要:随着大数据和供应链管理的发展,整合资源,实现有限资源的最大化使用越来越重要。文章在关于机会成本对企业决策的影响程度上,旨在探讨企业财务决策中机会成本的作用。秉持有限资源效益最大化的原则,深入探索和解读机会成本,分析探索机会成本作为虚实...
Fama-French三因子模型及其流动性修正模型在我国科创板的适用性研究
摘要:科创板推出至今已运行两年,对于这样的新兴市场,研究其定价理论和因子,同时为投资者提供理论指导,无疑是非常有意义的。由于目前针对科创板定价理论与流动性溢价的实证研究几乎空白,文章针对经典的定价理论,如CAPM和Fama-French三因...
服务创新研究综述
摘要:服务创新是企业进行市场竞争,维持竞争优势强有力的关键武器,能够推动企业稳定高速发展。国内外学者从不同角度切入,运用多种研究工具对服务创新理论进行研究。文章对现阶段与服务创新相关的内容研究进行搜集,更加系统地对服务创新进行归纳总结,了解...

财税金融

新时代中国股市的特点及其发展方向
摘要:中国股市起步晚、发展快。由于历史原因,目前的中国股市仍然存在不少问题。文章从中国股市的发展历程开始讲述,通过分析中国股市的新时代特征,以及研究对比美国成熟股市的做法,为中国股市的未来发展方向提出建议。关键词:中国股市;新时代特征发展方...
大数据时代互联网金融创新发展和风险防控
摘要:随着5G时代的到来,互联网的发展更是如火如荼,为互联网金融的创新发展提供了技术上的支持,为其创新发展提供了新的动力。互联网金融的创新发展是推动我国互联网向多元化,成熟化发展的重要因素,互联网金融从一开始就显现出了强大的发展势头,这给传...
基于社会认知理论的农民工社交金融产品使用意愿研究
摘要:社交软件的普及,推动社交金融,在乡村振兴发挥重要作用。文章为研究农民工社交金融使用意愿的影响因素,基于社会认知理论构建农民工社交金融产品使用意愿结构方程模型,研究发现,感知行为控制及主观规范是影响农民工社交金融产品使用意愿的重要决定因...

商贸流通

农村快递发展现状及对策研究
摘要:“互联网”环境下,农村生活产生了翻天覆地的变化,随着人民经济水平的提高,大部分农村人民更喜欢网上购物,农村网购的发展带动了农村快递业的发展。近年来,农村快递配送效率成效很明显,但是存在很多问题,比如,“最后一公里”的配送质量和效率低,...

经济与法

《民法典》集体经济组织成员资格认定的文献综述
摘要:当今时代农村经济越发展现出活力,随着乡村旅游、农家乐等新型乡村经济的兴起,以农村集体经济组织为主的农村经济组织管理机构发挥重要作用,因此农村集体经济组织成员资格的准入标准便成为亟待解决的问题。文章主要将农村集体经济组织成员资格准入标准...

人力资源管理

创建服务型企业人事管理工作的策略分析
摘要:在我国社会体制设置中企业为社会发展提供了大量的基础服务。随着我国经济快速发展及社会变革的实际需要,建设服务型企业已经成为企业改革发展的必然方向。文章深入分析企业自身特点,以此为基础分析当前阶段企业在人事管理工作之中存在的问题,结合构建...
管理经济学视角下的企业人力资源管理分析
摘要:科学的人力资源管理手段能够提升企业的生产效益。为提升企业管理效果,文章就管理经济学视角下的企业人力资源管理进行探究,简单阐述人力资源管理的内容和意义,同时分析企业人力资源管理现状及管理中存在的问题,尝试给出相应的解决策略,旨在为相关管...
知识经济背景下的电力企业人力资源管理策略
摘要:在知识经济背景下,企业的竞争、行业的发展归根结底靠的是人才。电力企业在新的时代背景与经济环境下,探索人力资源管理策略,正是通过对人才的管理与规划,探索企业稳定发展的有效办法。文章通过简单介绍人力资源规划、人力资源管理对电力企业的重要意...
煤炭企业人力资源管理的现状及信息网络技术的应用
摘要:随着我国互联网和其他新一代移动信息网络技术的迅速普及和迅猛发展,人力资源管理的行业信息化也逐步走向正轨,成为人力资源管理和信息技术交叉应用的一个热门话题。文章在深入系统分析我国煤炭所属国企从事人力资源管理的发展现状和其在企业信息化体系...

文化产业

“互联网+”背景下线上健身产业发展趋势研究
摘要:线上健身产业是“互联网+”时代的必然产物,在推动我国体育产业经济发展中起着不可替代的作用。文章通过文献资料法和逻辑分析法对我国线上健身产业情况进行梳理总结,分析目前我国线上健身产业发展的主要特征,展望产业未来趋势及面临的发展瓶颈。研究...
黑茶情景茶艺设计要领及例证
摘要:文章提出了雅安边茶情景茶艺设计要领,并结合雅安边茶的历史文化特性,举例说明了其茶艺设计中主题选择及内容演绎,为黑茶茶艺发展提供参考。关键词:雅安边茶;藏茶;黑茶;茶艺表演如今雅安行销藏区茶叶概念混淆,人们多以藏茶呼之,每每提及,总给人...

财务管理

会计信息决策有用性研究
摘要:对于企业的发展而言,会计信息质量不仅会影响到企业资源的分配,还会对资金使用产生影响,所以会计信息成为企业投资工作的重要基础,高质量会计信息会让企业的决策更加科学有效。在新会计制度实施的背景下,会计信息的重要性进一步凸显,基于此,为了发...
企业集团财务共享建设中的问题及对策研究
摘要:先进的财务共享服务中心管理模式被越来越多的企业所运用,这篇文章研究探讨了企业集团财务共享的优势和局限性,以及财务共享的构建思路与财务共享工作中存在的一些问题,并提出几点优化对策。关键词:企业集团;财务共享;优化对策一、企业集团财务共享...
论企业财务会计向管理会计转型的实现
摘要:随着社会经济的不断发展以及信息技术的日益进步,企业的经营方式变得日益多元,此时传统的财务会计职能显然已经无法满足企业内部各种生产经营活动的需要,对其进行调整和创新就变得十分有必要。对于企业的财务会计工作而言,其需要坚持理论与实践相结合...
大数据时代企业财务管理的创新分析
摘要:随着信息时代的持续发展,大数据日渐进入人们工作生活的方方面面,同样对企业的财务管理及日常财务处理工作带来了一些挑战。文章探讨了大数据时代的主要特点,分析了大数据时代对企业财务管理造成的三个方面影响,提出了大数据应用时代我国企业财务风险...
大数据时代小微企业云代账平台发展趋势研究
摘要:大数据时代下,云代账平台在小微企业会计业务运行中的应用,呈现出了良好的发展趋势。基于此,文章从云代账平台的原理、大数据时代下小微企业运用云代账平台的优势展开论述,详细研究了大数据时代小微企业云代账平台的低价化、共享化、快捷化、智能化、...
基于财务风险防控视角的国有企业财务精细化管理
摘要:国家指引国有企业改革,其目的是增强国企新时代适应经济体系综合发展的实力,能在国家建设中担负重任,支持经济发展,创造更大价值。管理改革是国有企业科学发展重中之重,关乎内部及外部一切资源高效利用成效,一旦管理失去作用将直接阻滞国企改革发展...
论述“套期会计”运用于金融衍生工具的确认和计量
摘要:自2017年金融工具确认和计量准则修订后,“套期会计”进入人们的视野。文章尝试从金融学角度对“套期会计”运用于金融衍生工具的确认和计量进行分析,希望可以为“套期会计”运用于金融衍生工具的确认和计量提供借鉴。关键词:套期会计;金融衍生工...
大数据时代基于云会计的小微企业财务管理分析
摘要:大数据时代下,我国社会经济的发展取得了更大的进展,在企业的发展中也涌入了越来越多的新兴技术,而小微企业为了在大数据时代下取得更好的生存发展,就必须积极转变自身的经营管理理念,充分运用大数据技术的优势,积极提高财务管理水平。文章针对大数...
住房公积金财务管理转型升级的思考
摘要:目前,很多人都面临着巨大的购房压力,而公积金制度的存在,既能够在一定程度上降低人们的购房压力,还能够推动房屋货币化制度的改革。目前,我国的住房公积金制度已经推行了二十年,缴纳规模逐渐扩大,随着现阶段购房压力的增大,住房公积金逐渐地受到...
建筑施工企业财务内控现状与改进对策分析
摘要:伴随着国内建筑企业的持续发展壮大,建筑企业数量日渐变多,在发展环节中更应注重内部控制,利用财务内部控制完成对建筑企业项目资金的整体规划,积极地应对生产经营环节中的各种财务风险,确保企业在行业竞争中处于不败之地。文章简要剖析了建筑企业所...
管理会计在建筑施工企业财务管理中的应用探讨
摘要:当前我国处于全面对内深入改革及对外持续开放发展时期,企业竞争压力有所增加,如何化压力为改革与开放的发展动力,成为企业要攻克管理难题之一。其中,管理会计作为能增加企业效益,采用专门方法,运用财务会计资料进行报告、整理、加工,为管理人员针...
工业制造企业会计成本核算与管理控制分析
摘要:随着我国经济迅速发展,科学技术不断创新,社会各领域之间的竞争日趋激烈。现阶段,工业制造企业要更好地顺应时代发展,提高自身经济效益,就要不断加强内部管理控制力度,构建科学、合理的管控措施,有效提高会计工作者的成本核算能力和职业素质,以此...
大数据时代电网企业财务管理创新
摘要:文章首先探讨大数据技术对于电网企业财务管理工作的影响,之后分析综合运用大数据技术展开电网企业财务管理工作的必要性,最后根据该项工作之中所存在的问题提出具有针对性的工作策略,用以助推电网企业财务管理的改革创新,促进电网企业高质量发展。关...
相关杂志
  • 环球美酒

    环球美酒

    2025年03期
    ¥16.89
  • 财经

    财经

    2025年27期
    ¥20.00
  • 第一财经

    第一财经

    2025年11期
    ¥18.00
  • 证券市场周刊

    证券市场周刊

    2025年42期
    ¥15.00
  • 中国经济周刊

    中国经济周刊

    2025年21期
    ¥12.00
  • 商界

    商界

    2025年10期
    ¥12.00
  • 21世纪商业评论

    21世纪商业评论

    2025年06期
    ¥6.00
  • 中欧商业评论

    中欧商业评论

    2025年05期
    ¥48.00
  • 银行家

    银行家

    2025年10期
    ¥48.00
  • 董事会

    董事会

    2025年09期
    ¥24.00
  • 债券

    债券

    2025年10期
    ¥34.89
  • 新财富

    新财富

    2025年10期
    ¥18.00
订阅全年后,您可享受以下权益
①该本杂志即日起至未来1年内所有更新电子版杂志的使用权限;
②赠送该杂志的部分往期的杂志的使用权限,有效期1年。

全年订购价格: ¥324.00

订阅全年
--%>

登录龙源期刊网

温馨提示:

1.点击网站右上角的“充值”按钮可以为您的账号充值

2.充值金额可以选择30,50,100或500元

3.充值成功后即可购买网站上的任意杂志或文章

还没有龙源账户? 立即注册

购买杂志

中国集体经济

杂志价格:¥9.00元

  • 微信扫码支付
  • 当前余额:100.00

购买杂志

中国集体经济

杂志价格:¥9.00元

  • 微信扫码支付
  • 当前余额:¥100.00

    去充值
monitor
客服机器人