注册帐号丨忘记密码?
1.点击网站首页右上角的“充值”按钮可以为您的帐号充值
2.可选择不同档位的充值金额,充值后按篇按本计费
3.充值成功后即可购买网站上的任意文章或杂志的电子版
4.购买后文章、杂志可在个人中心的订阅/零买找到
5.登陆后可阅读免费专区的精彩内容
打开文本图片集
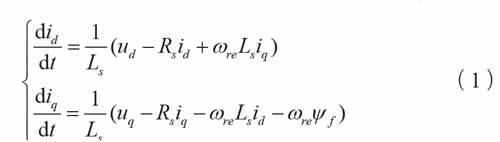
关键词:永磁同步电机;改进预测控制;电流畸变
随着国家提出推动运输工具装备低碳转型,越来越多新能源的电动汽车厂商崛起,鉴于目前电动汽车的动力系统通常都是PMSM驱动系统,因此PMSM的发展前景十分广阔。在众多的电机控制方法中,直接转矩控制和矢量控制以往研究较多,但随着控制精度的要求越来越高,这两种控制方法以难以满足响相应的要求。(剩余2791字)
登录龙源期刊网
购买文章
改进的永磁同步电机模型预测控制方法
文章价格:3.00元
当前余额:100.00
阅读
您目前是文章会员,阅读数共:0篇
剩余阅读数:0篇
阅读有效期:0001-1-1 0:00:00