注册帐号丨忘记密码?
1.点击网站首页右上角的“充值”按钮可以为您的帐号充值
2.可选择不同档位的充值金额,充值后按篇按本计费
3.充值成功后即可购买网站上的任意文章或杂志的电子版
4.购买后文章、杂志可在个人中心的订阅/零买找到
5.登陆后可阅读免费专区的精彩内容
打开文本图片集
[中图分类号]TP391.1;F224.7 [文献标识码]A
我国经济正在从高速发展向高质量发展转变,实现经济高质量发展的根本出路就是加快新旧动能转换进程。目前关于新旧动能转换研究的相关文献主要集中在三个方面:一是主要围绕新旧动能转换的内涵实质、模式路径和战略举措等方面展开理论探讨[1-2]。二是围绕新旧动能转换多维评价测度、演进路径和动态特征等展开。(剩余6721字)
登录龙源期刊网
购买文章
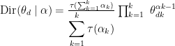
基于LDA模型的长江经济带新旧动能转换统计测度
文章价格:5.00元
当前余额:100.00
阅读
您目前是文章会员,阅读数共:0篇
剩余阅读数:0篇
阅读有效期:0001-1-1 0:00:00