注册帐号丨忘记密码?
1.点击网站首页右上角的“充值”按钮可以为您的帐号充值
2.可选择不同档位的充值金额,充值后按篇按本计费
3.充值成功后即可购买网站上的任意文章或杂志的电子版
4.购买后文章、杂志可在个人中心的订阅/零买找到
5.登陆后可阅读免费专区的精彩内容
打开文本图片集
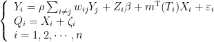
关键词:惩罚经验似然;空间自回归;半参数变系数模型;测量误差中图分类号:0212.7 文献标识码:A 文章编号:1673-1794(2025)05-0053-09作者简介:,安徽工程大学数理与金融学院硕士研究生,研究方向:数理统计;通信作者:,安徽工程大学数理与金融学院教授,博士,研究方向:数理统计。(剩余12930字)
登录龙源期刊网
购买文章
带有测量误差的高维半参数变系数 空间自回归模型的惩罚经验似然
文章价格:6.00元
当前余额:100.00
阅读
您目前是文章会员,阅读数共:0篇
剩余阅读数:0篇
阅读有效期:0001/1/1 0:00:00