光、热可控双重动态键聚合物的设计及性能

打开文本图片集
中图分类号:TQ317.3 文献标志码:A
Design and Performance of Dual Dynamic Crosslinked Polymer with Light and Thermal Tunable Properties
LIUXiaoxu,LIXinyu,BAIJing,CHENFei (School ofChemical Engineering and Technology,Xi'an Jiaotong University,Xi'an 71oo49,China)
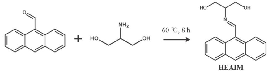
Abstract: By incorporating dynamic imine bonds and anthracene moieties into a polymer matrix, we constructed adualdynamiccros-linked networkand systematicallyinvestigated itsphoto-responsivebehavior,rheologicaldynamics,and mechanical properties. Fourier-Transform Infrared Spectroscopy (FT-IR) and 1H -Nuclear Magnetic Resonance ('H-NMR) confirmed that the target polymer bearing both dynamic imine linkages and photo-responsive groups was successfully synthesized. Ultraviolet-Visible (UV-Vis) spectroscopy revealed four characteristic absorption peaks in therange of 300nm to 400nm ,allowig theevolution of thechemical structureunder irrdiation to be directlymonitoredand verifying the occurrenceof thephoto-crossinkingreaction.Toelucidate theeffectof iradiation timeonmechanical performance,tensile tests were conducted after preciselycontrolled exposure periods.As iradiation time increased,the Young's modulus rose steadily from 10.33MPa to 17.52MPa ,while the elongation at break decreased from 167% to 105% .The tensile strength initiallyincreasedandthendeclined,indicatingthatexcessiveiradiationinducesgreaterbritleness.Rheological measurements further showed two inflection points at 95∘C and 142∘C during temperature sweeps of the photocross-linked sample,directly evidencing distinct temperature responses associatedwith internal dynamic-iminebondexchangeand depolymerizationofthephotocros-lkednetwork,respectively.Stress-relaxationexperimentsrevealedthat,althoughthe photocros-linked material retained a high modulus at elevated temperatures,the network gradually depolymerized at high temperatures (e.g., 160∘C ), transitioning the material into a viscous-flow state. These results demonstrate the multi-responsive capability of the dual-dynamic polymer network.
Key words: photo-responsive; dynamic covalent bond; polymer; rheology; kinetics
动态共价键(DCB)因其可逆性和响应性,在智能材料领域展现出巨大的应用潜力[1-3]。(剩余13689字)