注册帐号丨忘记密码?
1.点击网站首页右上角的“充值”按钮可以为您的帐号充值
2.可选择不同档位的充值金额,充值后按篇按本计费
3.充值成功后即可购买网站上的任意文章或杂志的电子版
4.购买后文章、杂志可在个人中心的订阅/零买找到
5.登陆后可阅读免费专区的精彩内容
打开文本图片集
中图分类号:TP391 文献标识码:A 文章编号:1008-3715(2025)04-0118-06
1引言
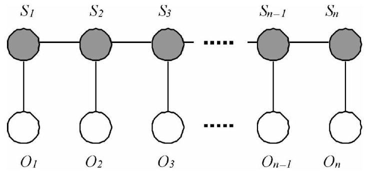
条件随机场(conditionalrandomfields,CRFs)是Lafferty于2001年在隐马尔科夫模型和最大熵模型的基础上提出的一种判别式条件概率模型[1]CRFs在观测序列的基础上对状态序列进行建模,常用于解决序列化数据标注问题。(剩余10170字)
登录龙源期刊网
购买文章
条件随机场的特征函数产生机制及量化研究
文章价格:6.00元
当前余额:100.00
阅读
您目前是文章会员,阅读数共:0篇
剩余阅读数:0篇
阅读有效期:0001-1-1 0:00:00