风险投资赋能绿色发展了吗?
——基于要素配置效率和空间溢出视角

打开文本图片集
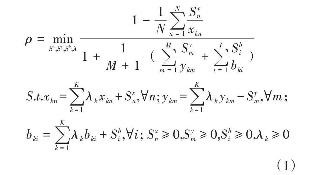
摘要:风险投资在谋求利益最大化的同时,能否成为绿色发展新的增长极是目前学界关注的重要议题。在要素配置效率视角下,通过运用SBM-DEA测度2004—2022年省级绿色全要素生产率以衡量绿色发展水平,并构建空间计量模型考察风险投资对绿色发展的影响。研究发现:时空视阈下,技术进步是绿色全要素生产率提升的主要来源,且绿色全要素生产率存在显著的空间差异性;风险投资可以通过绿色创新推进绿色发展效应,对邻近地区存在空间外溢作用,此结果在更换核心解释变量、剔除直辖市和改变动态空间计量模型后均得以验证;考虑区域异质性和规模异质性特征,东部和风投规模大的地区风险投资的绿色发展效应更为显著;此外,良好的制度环境构建能够有效催化风险投资的绿色发展效应。(剩余15421字)