中小企业管理与科技·上半月

中小企业管理与科技·上半月

2025年12期
  • 收藏
收藏成功
微博 空间 微信
《中小企业管理与科技》杂志是广大经济界、管理界、科技界、理论界人士进行学术探讨、理论研究和实践经验交流的最佳平台。栏目开...     展开

类型

月刊

类别

商业财经
定价
促销信息
全年订阅更优惠!
¥30.00 ¥18.00
目录

热点

激活产业动能构筑战略优势
实体经济是大国的根基,是构筑未来发展战略优势的重要支撑。 习近平总书记强调:“我国经济是靠实体经济起家的,也要靠实体经济走向未来。” 科学指引,实干笃行。回眸“十四五"规划收官之年,我国坚持把发展经济的着力点放在实体经济上,推动科...
增强国内大循环内生动力和可靠性
强大国内市场,是中国式现代化的战略依托。 习近平总书记指出:“当前和今后一个时期,要坚持做强国内大循环,加快形成强大国内经济循环体系,以国内循环的稳定性对冲国际循环的不确定性。” “十五五"规划建议提出:“坚持扩大内需这个战略基点...

政策速递

关于增强消费品供需适配性进一步促进消费的实施方案
11月25日,工业和信息化部、国家发展改革委、商务部、文化和旅游部、中国人民银行和市场监管总局联合印发《关于增强消费品供需适配性进一步促进消费的实施方案》,旨在以消费升级引领产业升级,以优质供给更好满足多元需求,实现供需更高水平动态平衡。 ...
河北省民营经济促进条例
11月26日,河北省十四届人大常委会第十八次会议表决通过《河北省民营经济促进条例》,将于2026年1月1日起施行。《条例》共9章70条,主要围绕市场公平准入和公平参与竞争、破解融资难问题、继续优化营商环境等,有针对性作出制度设计,填补了河北...

访谈

国新办举行国务院政策例行吹风会介绍增强消费品供需适配性进一步促进消费政策措施有关情况
国务院新闻办公室于2025年11月27日上午10时举行国务院政策例行吹风会,请工业和信息化部副部长谢远生、国家发展改革委就业收入分配和消费司司长吴越涛、工业和信息化部消费品工业司司长何亚琼、商务部市场运行和消费促进司负责人杨桥、文化和旅游部...
新闻发布会现场答记者问实录
问:人群细分催生更多元化的消费需求。我们知道,“一老一小”、学生、上班族等重点人群的消费偏好各不相同,请问将如何精准对接这些差异化需求,推出适配性更强的产品与服务? 答:随着经济社会发展水平的提升和我们老百姓生活理念的深刻变化,应该说,我们...

资讯

绘就笃行致远新图景
抢抓农时为明年夏粮生产打基础、消费市场实现多元化发展、新质生产力加快培育、城市更新扎实推进…11月以来,全国各地铆足干劲,奋发向上,我国经济内生动力强劲,高质量发展迈出新步伐、呈现新图景。 观察之一 应播尽播来年“丰"可期 9月以...
数字河北加快建设便民利企成效显著
聚焦钢铁、化工等产业数智转型,建成654个行业高质量数据集;全省数据标注从业企业超600家;全省电子证照总量达到3.45亿张11月26日,省政府新闻办召开“十四五"高质量发展河北答卷系列主题第十八场新闻发布会,全面展示了“十四五&...

探索研究

地方税收征管强度对企业会计稳健性的影响研究
【摘要】论文以2003—2021年沪深A股上市公司为样本,采用C_Score模型度量企业会计稳健性,并采用地级市真实税收收入与拟合税收收入之比衡量地方税收征管强度,实证检验税收征管强度对企业会计稳健性的影响。研究发现,地方税收征管强度显著提...
成渝双城经济圈:数字经济的减污降碳协同效应及作用路径研究
【摘要]数字经济正日益成为推动区域经济转型升级和实现绿色低碳发展的重要引擎。论文基于2018—2023年成渝双城经济圈城市面板数据,构建减污降碳协同效应评价模型,分析数字经济发展对该区域减污降碳协同效应的驱动作用及其潜在影响机制。研究结果表...
碳排放权交易政策对中小企业绿色专利产出的影响研究
【摘 要】针对碳排放权交易政策对中小企业绿色专利产出的影响,论文从知识溢出与融资约束的双重路径展开分析。研究发现,政策初期,碳排放权交易政策带来的碳成本压力通过产业链传导加剧了中小企业的融资约束,而知识获取壁垒进一步限制了其创新活动。通过建...
数字化转型与绿色物流协同驱动国际消费中心城市建设的应用路径探究
【摘要】在全球数字经济加速发展与“双碳"战略深入推进的背景下,数字化转型与绿色物流的协同发展(“双化协同”)成为推动城市高质量发展的新动能。论文以国际消费中心城市建设为研究对象,系统分析数字化转型与绿色物流的协同机制。通过分析国际...
女性董事占比对企业ESG表现的影响研究
【摘要】随着“她力量"时代的到来,女性在企业管理中愈发彰显优势,凭借其独特的智慧,为我国高度重视的可持续发展目标注入关键动能。女性如何影响企业可持续发展战略的实施,值得进一步探讨。论文结合社会角色期望理论,对2014—2024年相...
ESG表现对企业研发投入的影响研究
【摘要】论文以2011—2021年中国A股上市公司为研究样本,分析ESG评级、融资约束对企业研发投入的影响机制,以及股权融资的调节效应。研究发现,ESG评级对企业研发投入具有显著正向影响;融资约束在ESG评级与企业研发投入的关系中发挥部分中...
供应链稳定性对制造业企业海外经营绩效的影响研究
【摘 要]当前,全球化进程中供应链面临地缘政治冲突、市场需求波动等多重风险,中国制造业跨国企业海外经营的供应链稳定性愈发关键。论文以2012—2022年中国A股上市的制造业跨国企业为样本,采用固定效应回归模型研究供应链稳定性对企业海外经营绩...
代际传承与企业“漂绿"行为关系研究
【摘要】论文以2009—2023年我国沪深A股上市家族企业为研究样本,对代际传承如何影响企业的“漂绿”行为展开研究。研究发现,代际传承会显著抑制企业“漂绿"行为,且经过稳健性检验后结论依然成立;长期导向在其中发挥中介作用,且在融资...

管理论坛

矿业类国有企业内部控制监督体系的构建与完善
【摘要】国有企业在国民经济发展进程中占据着重要位置,内部控制监督体系对防范经营风险以及提升管理水平而言是关键保障。论文将矿业类国有企业内部控制监督体系作为研究对象,剖析了当下存在的跨部门协同机制失灵,“大监督"格局流于形式;技术赋...
限额设计在EPC项目成本控制中的应用策略
【摘要针对限额设计在EPC项目成本控制中存在的限额指标制定不合理、设计与采购、施工环节脱节等问题,论文提出限额设计在EPC 项目成本控制中的应用策略,先闸述了EPC项目与限额设计相关理论内容,并指出当前限额设计在EPC项目中的问题,最后着重...
城商银行实施全面预算管理存在的问题及对策研究
【摘要]论文以城商银行为研究对象,采用理论梳理与实践需求适配分析方法,结合城商银行定位及区域经济周期性特征强、数字化基础薄弱等特性,剖析出其预算管理存在预算与长期发展定位衔接不足、编制方法滞后、执行监控机制不健全、考核评价与预算目标协同缺失...
R集团财务管控体系与可持续投资决策适配问题及对策研究
【摘要]在全球可持续投资浪潮与政策驱动下,R集团作为产业投资集团,其现有财务管控体系与可持续投资决策存在明显适配缺口。论文采用案例分析法,剖析R集团可持续投资决策需求,从预算、绩效、资金、风险管控模块构建适配体系,并提出实施保障措施。研究结...
资源约束视角下社区小店的战略构建与动态适配
【摘要】在商业巨头规模化扩张与电商平台流量挤压的双重冲击下,社区小店作为微观经济单元常被视为“脆弱性”主体,但其凭借一套区别于大企业的“精悍型"战略体系实现了“以小博大"的生存智慧。论文基于战略管理理论,结合我国小店发展...
审计视角下建筑企业资金内部控制优化路径研究
【摘要】资金管理存在于工程项目建设管理的各个阶段,对企业长期战略目标的实现起着决定性的作用。论文以COSO内部控制框架为依托,从审计视角下分析了建筑企业在资金内部控制中存在的核心问题,以某省级建筑企业A公司为研究对象,剖析了其管理成效。在此...
数智化转型背景下高速公路基层所站复合型人才储备面临挑战与应对策略研究
【摘要】随着数智化转型的深入推进,高速公路基层所站职能由传统收费、养护向数据分析、智能运维等方向拓展,对复合型人才的需求日益迫切。当前人才储备面临技能滞后、培养体系不完善、激励机制不足及跨领域融合困难等多重挑战。为应对这些问题,论文提出需构...
考虑专家可信度的犹豫模糊TOPSIS风险评价方法研究
【摘要]犹豫模糊集是一种有效处理复杂决策问题中不确定性的方法,能够充分考虑专家或决策者评判过程中的犹豫性与模糊性。在实际决策中,专家的知识经验存在局限,对不同领域的认知程度存在差异,故引入专家可信度,用以衡量评判信息的可靠程度。基于此,论文...
业财一体化下制造企业成本管理的优化策略研究
【摘要】论文以业财一体化背景下的制造企业成本管理为研究对象,系统剖析其成本管理存在的问题。研究发现,制造企业成本管理中存在的成本管理认知盲区、成本核算偏差、成本控制弱化、成本分析表面化等问题。论文针对性提出优化策略,通过消除成本管理盲区、提...
基于组织发展的人才梯队建设实践模式研究
【摘 要现有关于人才梯队建设的研究多侧重于理论模型的构建或操作流程的描述,缺乏与企业管理实践的深度结合,导致其实际指导价值受限。论文在整合系统理论和资源基础观的基础上,构建了一个“战略—系统—动态"整合性人才梯队建设模型,并采用多...
数字经济时代敏捷绩效管理在互联网企业的应用研究
【摘要]数字经济时代,在互联网企业中应用敏捷绩效管理,是促进企业高效发展,提升市场竞争力的重要途径。论文在对敏捷绩效管理相关理论进行概述的基础上,以Z企业为实例,分析了其绩效管理现状和问题,并结合敏捷绩效管理的内涵与特点,从设计基于OKR+...
价值创新视角下传统小吃的破局之道
【摘要】当前,餐饮行业同质化竞争日益加剧,消费需求持续选代,中小餐饮企业面临严峻生存挑战。论文以魏家凉皮为研究对象,融合蓝海战略与动态能力理论,构建“战略一能力"双轮驱动的分析框架。研究表明,魏家凉皮运用ERRC 分析工具,在产品...
经济新常态下城投企业市场化转型路径探究
【摘要】随着地方政府债务约束趋紧,投融资体制不断改革,城投企业面临着由“政府融资平台"向“市场化经营主体"的现实转型需求。论文基于委托代理理论、资本结构理论和新公共管理理论,系统分析了城投企业市场化转型的各个阶段特征、现...
企业资产运营效能提升路径探索
【摘要】论文基于企业资产运营效能的多维驱动视角,运用组态分析方法,探索企业资产运营效能提升路径。研究表明,单一要素并非高效能的必要条件,数字技术应用、人才结构优化、制度创新与政策适配通过多重并发机制协同驱动效能提升。数字化转型在当前阶段主要...
人工智能赋能国有企业新质人才队伍建设路径研究
【摘要]论文聚焦国有企业在人工智能时代下人才队伍建设现状与面临的挑战,探讨人工智能技术在企业人力资源管理中的应用潜力,提出五大针对性建设路径,旨在为国有企业新质人才队伍建设及人力资源数字化转型提供参考,提升企业核心竞争力。【关键词】人工智能...
H集团工会经费合规化与预算协同管理研究
【摘要]水利水电企业工会经费管理面临合规性与效益性双重挑战,亟需构建协同管理新模式。论文以H集团实践为基础,探索经费合规化与预算协同管理路径。建立分级授权责任机制、完善预算绩效评价体系与构建信息化支撑平台是推进管理创新的关键。实施数字化驱动...
新质生产力视角下仪征市创新型人才引育的现实困境与优化策略
【摘 要】党的二十届四中全会审议通过的《中共中央关于制定国民经济和社会发展第十五个五年规划的建议》,将“加快高水平科技自立自强,引领发展新质生产力"作为"十五五"时期经济社会发展的核心目标之一,给仪征市创新型人...
医药企业连续并购的动因及效应研究
【摘 要】在医药行业竞争日益激烈及产业升级加速的背景下,并购已成为医药企业实现快速扩张、提升核心竞争力的重要手段。论文以华东医药2019—2024年连续并购案例为研究对象,通过案例研究、财务指标分析法,梳理其并购历程及并购动因,从偿债能力、...
三鑫医疗股权激励对财务绩效的影响分析
【摘要现如今,股权激励计划被广泛应用于提升企业财务绩效。论文以三鑫医疗为研究对象,从四大能力系统分析股权激励对公司财务绩效的影响,研究发现,三期股权激励计划对公司财务绩效产生了积极驱动作用。同时,激励计划仍存在一些问题,制约了激励效果的充分...
企业全面预算管理的困境及对策研究
【摘要】论文以某AI创业公司为研究对象,结合其全面预算管理的特殊性,剖析其预算管理现状及核心困境。研究发现,该企业存在预算与企业战略衔接不紧密、研发预算弹性适配性不足、预算动态管控机制缺失、预算考核指标体系单一等问题,结合其成因,论文提出强...

科技进步

大数据技术在企业会计核算自动化中的应用路径与效果研究
【摘要】论文采用案例分析法,围绕大数据技术在企业会计核算自动化中的应用路径及成效展开研究。论文通过系统梳理2024—2025年的行业报告( tan2025 年影响中国会计行业的十大信息技术评选报告》),结合制造业(以美的集团为例)金融业(以...

创业创新

互联网背景下中小企业商业模式创新影响因素研究
【摘要】在“互联网 + "驱动创新2.0的时代背景下,传统营销模式正经历深刻变革。论文聚焦互联网背景下企业商业模式创新的影响因素,构建包含技术创新、企业家精神、外部竞争压力和制度环境四维度的理论模型,将商业模式解构为价值主张、盈利...
创新国家战略下河北省城市创新效率评价
【摘要】创新是国家和社会进步的根本动力,创新驱动发展及京津冀协同发展的战略背景下,探究河北省产业创新效率有十分重大的意义。论文使用广义SBM-DEA方法通过对河北省规上工业企业研发投入产出指标进行分析得出其创新效率,结果表明河北省所有城市相...

产经视点

宁夏葡萄酒产业知识产权成果转化路径探索研究
【摘要】论文以宁夏贺兰山东麓青铜峡葡萄酒产区为研究对象,聚焦其知识产权管理薄弱与成果转化低效等制约产业高质量发展的关键问题,基于产区知识产权托管服务实践,综合运用文献研究、实地调研和案例分析方法,系统诊断了产区知识产权现状与转化困境。研究从...
梅州市财政支出、产业结构优化对经济增长的影响研究
【摘 要]论文通过运用向量自回归模型、格兰杰因果检验、协整检验、脉冲响应函数和方差分解等动态经济计量分析方法对梅州的1981—2023年财政支出、产业结构优化与经济增长的动态关系进行实证研究。结果表明:一是经济增长与产业结构优化、财政支出三...
大庆市“专精特新"企业的新质生产力培育机制研究
【摘要】在新质生产力导向下,“专精特新"企业已成为大庆市产业升级的重要支撑力量。论文梳理相关研究成果,聚焦企业数量分散、创新能力不足、产业协同滞后与政策对接偏差等现实问题,深入分析其对新质生产力培育的制约机制,结合大庆市实践路径,...
资源型城市未来产业培育机制研究
【摘要】当前,未来产业作为培育新质生产力的关键载体备受关注。然而,现有研究多聚焦于创新资源富集地区,对资源型城市的未来产业培育机制探讨明显不足。论文以典型资源型城市——唐山市为例,采用案例分析法,结合文献梳理与实地调研,系统剖析其未来产业培...
广东港口绿色发展效率测算与评价
【摘要】在“双碳”目标下,港口绿色发展水平不仅关系到区域生态环境质量,更影响产业链供应链的低碳转型进程,深入研究港口绿色发展效率具有重要意义。论文以广东省深圳港、广州港、湛江港、东莞港、江门港、汕头港、珠海港七大港口作为研究对象,利用201...

财税金融

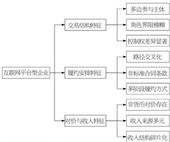
企业管理视角下互联网平台型企业收入确认中的会计处理探析
【摘 要】随着互联网平台型企业业务模式日趋多元,收入确认面临交易边界不清、履约义务交叉、对价形式复杂及确认时点模糊等问题,企业管理活动中对会计处理提出更高要求。论文从管理视角出发,分析收入确认中的关键难点,并提出平台职责识别、服务内容拆分、...
作业成本法(ABC)在商砼企业多标号产品成本核算中的应用
【摘要]商砼企业是建筑产业链的关键环节,其多标号混凝土产品成本核算的准确性,直接影响定价、利润与竞争力。传统混凝土成本核算方法依赖产量分配间接费用,难以反映真实成本。论文基于作业成本法(以下简称"ABC"法),结合商砼企...
“存贷双高”审计失败案例分析
【摘要】表面上“存贷双高”企业具有充足的流动资金偿还负债,但其并不符合优序融资理论,成因背后往往可能存在财务舞弊。然而近几年证监会所公布涉及“存贷双高"的财务舞弊案,大多与审计机构未勤勉尽责有关。论文以X会计师事务所审计"...
中小钢贸企业供应链金融融资信用风险评估
【摘要】论文基于供应链金融主体间的相互影响,构建以商业银行、中小钢贸企业以及核心企业为主体的三方演化博弈模型,运用演化博弈理论分析渐进稳定点以及探讨不同约束条件下的演化策略。随后论文使用MATLAB 2018进行数据仿真,计算惩罚金额等主要...
软件与信息技术服务业数据资产价值评估研究
【摘要】数据资产入表价值及对应估值方法的研究,对完善现行会计准则具有重要现实意义。论文以软件和信息技术服务业企业同花顺为研究案例,采用多期超额收益估值模型,通过科学分离企业各类资产的收益贡献值,测算数据资产所产生的超额收益,进而完成对其数据...
应收账款管理与企业现金流优化协同策略研究
【摘要】在企业经营过程中,应收账款的有效管理与企业现金流优化存在紧密的互促关系。当前,部分企业应收账款占用资金比例较高,导致现金流紧张、运营效率下降。论文以制造业企业为研究对象,从其对现金流周转效率、信用政策设计和财务绩效的多维影响机制出发...
财务共享模式下中小企业财务管理效能提升路径探讨
【摘要]数字化转型背景下,中小企业财务管理面临资源有限、流程分散等内生痛点,财务共享模式为效能提升提供新路径,但存在适配性瓶颈。论文以中小企业为研究对象,采用文献研究法、访谈法及问卷调查法,剖析其财务共享应用中流程再造不彻底、技术适配不足、...
研发支出对企业发展的影响
【摘要随着人工智能时代的到来,政府鼓励企业开展内部研究开发项目,研发支出也就随之产生。企业研发支出的处理是否得当会直接影响到企业未来的发展。论文以华为技术有限公司为例,基于华为近十年的年报(2015年至2024年),探究研发支出对企业产生的...
金税四期下制造企业税务风险防范研究
【摘要】金税四期标志着我国税收征管模式的深刻变革,依托大数据、人工智能技术实现对纳税人涉税行为的全覆盖监控,对企业涉税管理构成严峻挑战。论文从制造企业新征管环境下涉税政策适应、业务活动合规、信息数据治理、供应链协调等视角系统归纳各类税务风险...
碳交易政策对交通企业财务战略转型的驱动机制研究
【摘 要】在全球气候治理背景下,碳交易政策作为市场化减排机制的核心工具,正深刻重塑交通企业的财务战略逻辑。论文基于波特假说、财务估值理论、污染者付费原则等,采用多案例研究的方法,选取3家代表性的交通企业进行深入调研,重点探索碳交易政策对交通...
制造业上市公司盈利质量分析研究
【摘要]当前制造业处于转型升级的结构性分化阶段,子行业差异显著,高端制造与新能源领域发展向好而传统低端加工制造承压,且受供应链格局、技术选代、下游需求等多因素影响。论文以Y公司为样本,结合其近5年财务数据,通过多维度模型剖析其盈利质量,既能...
REITs底层资产重组中的土地增值税清算难题破解
【摘要】为了提升REITs底层资产重组中土地增值税清算的规范性与可行性,论文分析了清算时点认定、计税依据界定、历史成本核算和责任划分方面的核心难题,探究实践中所形成的应对办法与制度优化途径。研究认为,税务规则跟交易结构存在深层次的错配,引发...
基于熵权TOPSIS法的奋达科技财务绩效评价
【摘要】论文以奋达科技2020—2024年财务数据为基础,采用熵权TOPSIS 法构建包含偿债、营运、盈利及发展能力的综合评价体系。研究发现,企业财务绩效主要受盈利能力与营运能力驱动。纵向层面,公司绩效先下降后上升,盈利水平仍低于历史峰值;...
铁路货运机车检修成本核算模型构建与应用研究
【摘要]在我国铁路货运业市场化改革不断深入的大背景下,维修费用是整个货物运输过程中的核心费用(占 35%~45% ),其核算的准确性将直接影响到企业的成本控制效果。由于现行的核算方法边界不清,间接费用分摊不准确,缺乏动态控制,论文基于作业成...
数字化转型对企业绩效的影响
【摘 要】在数字经济时代背景下,数字化转型已成为制造业企业提升核心竞争力的关键路径。论文以全球领先的物流装备制造企业Z公司为研究对象,通过系统分析其数字化转型实践,探究转型动因、实施路径及其对企业绩效的作用机制,分析其数字化转型的效果,并基...
相关杂志
  • 环球美酒

    环球美酒

    2025年05期
    ¥16.89
  • 第一财经

    第一财经

    2026年01期
    ¥18.00
  • 财经

    财经

    2025年27期
    ¥20.00
  • 证券市场周刊

    证券市场周刊

    2025年48期
    ¥15.00
  • 中国经济周刊

    中国经济周刊

    2026年02期
    ¥12.00
  • 商界

    商界

    2026年01期
    ¥12.00
  • 21世纪商业评论

    21世纪商业评论

    2025年06期
    ¥6.00
  • 银行家

    银行家

    2026年02期
    ¥48.00
  • 董事会

    董事会

    2025年12期
    ¥24.00
  • 债券

    债券

    2026年01期
    ¥15.60
  • 新财富

    新财富

    2026年01期
    ¥18.00
  • 销售与市场·上旬

    销售与市场·上旬

    2026年02期
    ¥29.80
订阅全年后,您可享受以下权益
①该本杂志即日起至未来1年内所有更新电子版杂志的使用权限;
②赠送该杂志的部分往期的杂志的使用权限,有效期1年。

全年订购价格: ¥216.00

订阅全年
--%>

登录龙源期刊网

温馨提示:

1.点击网站右上角的“充值”按钮可以为您的账号充值

2.充值金额可以选择30,50,100或500元

3.充值成功后即可购买网站上的任意杂志或文章

还没有龙源账户? 立即注册

购买杂志

中小企业管理与科技·上半月

杂志价格:¥18.00元

  • 微信扫码支付
  • 当前余额:100.00

购买杂志

中小企业管理与科技·上半月

杂志价格:¥18.00元

  • 微信扫码支付
  • 当前余额:¥100.00

    去充值
monitor
客服机器人