氮肥减施下光叶紫花苕不同翻压量对烟草产量和品质的影响

打开文本图片集
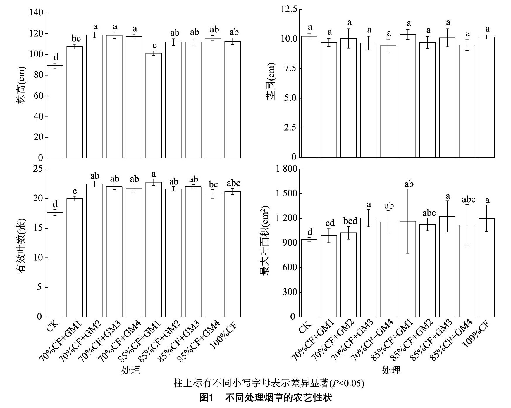
摘要:种植翻压绿肥能够缓解烟草连作生产、改善土壤质量、替代部分化肥,是一项有利于烟草可持续发展的措施。为探明长期减施氮肥条件下光叶紫花苕的适宜翻压量,开展田间定位试验,设置减施氮肥和绿肥翻压量梯度,共设冬闲+不施氮肥(CK)、冬闲+100%氮肥(100%CF)、85%氮肥+7.5 t/hm2绿肥(85%CF+GM1)、85%氮肥+15.0 t/hm2 绿肥(85%CF+GM2)、85%氮肥+22.5 t/hm2绿肥(85%CF+GM3)、85%氮肥+30.0 t/hm2绿肥(85%CF+GM4)、70%氮肥+7.5 t/hm2绿肥(70%CF+GM1)、70%氮肥+15.0 t/hm2绿肥(70%CF+GM2)、70%氮肥+22.5 t/hm2绿肥(70%CF+GM3)、70%氮肥+30.0 t/hm2绿肥(70%CF+GM4)共10个处理,测定烟草的农艺性状、经济性状和化学成分。(剩余7737字)