注册帐号丨忘记密码?
1.点击网站首页右上角的“充值”按钮可以为您的帐号充值
2.可选择不同档位的充值金额,充值后按篇按本计费
3.充值成功后即可购买网站上的任意文章或杂志的电子版
4.购买后文章、杂志可在个人中心的订阅/零买找到
5.登陆后可阅读免费专区的精彩内容
打开文本图片集
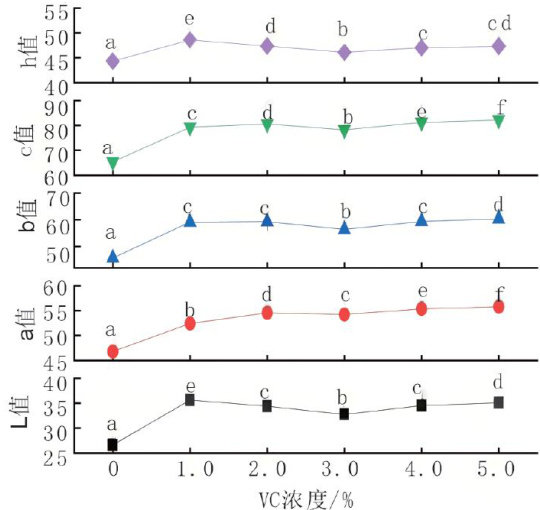
摘要:枸杞是我国传统的药食同源佳品。枸杞原浆是枸杞主要的加工制品,营养丰富、方便食用。为最大限度保留枸杞原浆中的营养成分,改善原浆生产与贮藏过程中出现的色泽劣变现象,探究抗坏血酸、柠檬酸2种护色剂对枸杞原浆色泽及组织状态的影响。结果表明:抗坏血酸、柠檬酸对枸杞原浆均有显著的护色效果,可提高色泽亮度(L值)和红度值(a值),使枸杞原浆呈现鲜艳明亮的橙红色。(剩余13277字)
登录龙源期刊网
购买文章
护色剂对枸杞原浆色泽及组织稳定性的影响
文章价格:6.00元
当前余额:100.00
阅读
您目前是文章会员,阅读数共:0篇
剩余阅读数:0篇
阅读有效期:0001/1/1 0:00:00