南方农业·上

南方农业·上

2025年08期
  • 收藏
收藏成功
微博 空间 微信
《南方农业》杂志是经国家新闻出版总署批准,重庆市农业委员会主管、重庆市农业科学院主办,面向全国公开发行的综合性农业科技期...     展开

类型

月刊

类别

农业乡村
定价
促销信息
全年订阅更优惠!
¥8.00 ¥4.89
目录

试验研究

干旱胁迫下外源褪黑素对甘草幼苗生长的缓解效应
摘要为研究干旱胁迫对甘草幼苗生理生化指标的影响,探讨甘草的耐旱性和其他生理特性,并筛选甘草适应干旱胁迫应激性变化的较适褪黑素浓度,以新疆红皮甘草(Glycyrrhiza uralensis)为试验材料开展干旱胁迫,并喷施不同浓度(0、50、...
不同间伐强度对按树人工林生长及土壤理化性质的影响
摘要通过对广西壮族自治区国有维都林场平塘分场中桉树人工林实施4种不同强度的间伐处理,分析不同间伐强度对桉树人工林生长及林地土壤理化性质的影响,以期为开展桉树人工林间伐培育提供参考。结果表明:实施间伐4年后,各处理林木的平均胸径分别比间伐前高...
钙镁磷肥用量对酸化土壤改良和质量提升的影响
摘要为筛选适宜酸化土壤改良和质量提升的钙镁磷肥适宜用量,比较了不同钙镁磷肥用量对小麦产量、氮磷钾利用率及对土壤理化性质的影响。结果表明:施用钙镁磷肥对小麦产量的影响总体不显著,以 1125.0kg?hm-2 钙镁磷肥用量为宜;钙镁磷肥用量超...
秸秆还田对水稻生长发育与土壤性状的影响
摘要为探讨水稻秸秆还田对水稻生长发育、农艺性状、产量及土壤理化性状的影响,在测土配方施肥量同等条件下,开展秸秆全量翻压还田与秸秆不还田对比试验。结果表明:水稻测土配方施肥 + 稻秆全量翻压还田比测土配方施肥 + 稻秆不还田每 667m2 增...
象州县“水稻—绿肥"轮作模式试验初报
摘要绿肥轮作不仅能提高土壤肥力,还对作物产量和品质具有积极影响,但其在不同区域和栽培条件下的具体效果尚需进一步探讨。为给广西象州县及类似地区优化“水稻—绿肥”轮作模式提供科学依据,以象州县为研究区域,选用紫云英、光叶苕子及箭筈豌豆为绿肥,采...
含氨基酸水溶肥在樱桃番茄上的应用效果研究
摘要为研究含氨基酸水溶肥料对樱桃番茄生长特性、产量及果实品质的影响,以樱桃番茄为研究对象开展2组盆栽试验。A组试验设置CK:空白对照,K1:喷施等量清水,K2:S肥兑水稀释500倍后浇施,K3:Y肥兑水稀释500倍后浇施4个处理。B组试验设...
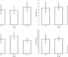
两个香菇品种的生长特性研究
摘要为了筛选适宜在河北省平泉市栽培的香菇品种,选用小试筛选出的2个具有优秀农艺性状的香菇品种(SY-1、SY-2)与平泉市常见品种进行对比,结果表明:SY-2污染率达到了 5.4% ,相比CK相差了3.9个百分点,SY-1污染率达到了 3....
云南省12个蚕豆品种区域试验
摘要为筛选出适合云南省不同区域种植的蚕豆品种,对云南省新育成的11个蚕豆品种进行区域试验,并以蚕豆品种凤豆十一号为对照,比较不同品种的农艺性状和产量表现。结果表明:产量比对照增产的品种有7个,其中凤豆37号、彝豆8号、凤豆38号、玉豆9号等...
贵州省2023—2024年区试小麦品种(系)综合抗病性鉴定与评价
摘要通过对贵州省2023—2024年区试小麦品种(系)进行条锈病、叶锈病、秆锈病、白粉病和赤霉病的抗病性鉴定评价,分析了参试品种的抗病性表现。结果表明:区试小麦品种(系)对主要病害的抗性表现总体较好,但综合抗病性仍需进一步提升,未来应结合现...
关岭县10个水稻品种比较试验
摘要为筛选出适合贵州省关岭县推广的高产优质水稻品种,于2024年选取10个水稻品种进行区域试验,记录各品种的生育期、株高、穗数、穗粒数、结实率、千粒重及产量等指标,系统比较各品种的生育期、茎蘖动态、特征特性及穗粒结构,并评估其抗病性和抗倒伏...
关岭县低热河谷地区玉米新品种比较试验
摘要为筛选出适宜低热河谷生态条件种植的玉米新品种,选用卓玉8102、众穗玉4号、新中玉9号、正大808、ZH9168和ZHB792等6个玉米品种进行比较试验,系统分析各品种的物候期、抗病性、经济性状及产量表现。结果表明:不同品种在物候期、抗...
会东县5个烤烟品种综合质量评价分析
摘要为筛查出更适宜于四川省凉山彝族自治州会东县推广生产的优质烤烟品种,以云烟85、云烟87、云烟100、红花大金元、川烟1号为供试材料,对各品种的外观质量、化学成分和感官质量等特性进行分析。结果表明:1)颜色、油分、色度和成熟度指标可有效区...
免套袋栽培对两个苹果品种食用安全性的影响
摘要以瑞阳、烟富8两个苹果品种为试验材料,研究了免套袋栽培对2个品种果实食用安全性的影响。结果表明:代森锰锌、代森联、克菌丹、肟菌酯、苯醚甲环唑、丙环唑、氟啶虫胺腈在2个苹果果实中未检出;甲基硫菌灵在瑞阳果实中未检出,在烟富8果实中残留量为...
槲蕨托插育苗试验初报
摘要为给槲蕨苗木生产提供技术支撑,采用正交试验法,选择插穗类型、苗床基质、浸泡方式、插穗留叶面积等4因素,各因素设置2个水平,研究槲蕨扦插育苗方法。结果表明,选用1年生根茎、将河沙 + 珍珠岩作为基质、用 100mg?L-1NAA 浸泡插穗...
深圳城职院校园蕨类植物的多样性及叶柄维管束结构分析
摘要为了系统调查深圳城市职业学院校园内蕨类植物的多样性,并探究其叶柄横切面维管束结构的形态特征,为校园生态建设及蕨类资源利用提供科学依据,于2023年3—12月通过实地调查和显微观察,对10种蕨类植物的分类、分布及叶柄维管束结构进行了分析。...
25% 喹硫磷乳油对3种水生生物的急性毒性分析
摘要为评估 25% 喹硫磷乳油对水生生物的毒性效应,在实验室条件下,以斑马鱼(Daniorerio)、大型泽(Daphnia magna)和近头状尖胞藻(Raphidocelis subcapitata)为研究对象,参照OECD测试导则和《...

绿色生产

黔江区青菜头油菜接茬春玉米/夏大豆带状复合种植技术要点
摘要为了解决重庆市黔江区玉米大豆带状复合种植后大量上等优质耕地在秋冬季闲置的问题,最大限度地周年利用土地,提高复种指数,提升种植效益,当地进行了青菜头|油菜接荏春玉米/夏大豆带状复合种植技术探索,取得了成功。为在黔江区广泛推广青菜头Ⅱ油菜接...
日照市岚山区大豆高产栽培技术要点
摘要大豆是山东省日照市岚山区重要的粮油和饲料兼用作物,也是带动当地农民致富增收的经济作物,确保大豆安全高效生产意义重大。为提高岚山区大豆的产量与品质,保障粮食供应链稳定,增加农民经济收入,从优选品种、种子处理、土地整备、机械播种及田间管理等...
洞庭湖区大棚苦瓜再生栽培技术要点
摘要苦瓜果味甘苦,主要作蔬菜,也可加工或入药,具有一定的市场需求。为提高洞庭湖区大棚苦瓜栽培技术水平,针对洞庭湖区亚热带湿润季风气候特征,结合洞庭湖区特有的水文地理条件,创新集成大棚苦瓜再生栽培技术,包括菜田准备、品种选择、播种育苗、定植、...
酉阳县春大白菜先期抽耋的原因及防止对策探讨
摘要大白菜栽培面积大、产量高、生产简单、营养价值丰富,深受种植户和消费者青睐。随着生活水平的提高,市场对大白菜周年供应的需求日益增长。春大白菜上市正值春淡季节,售价高于秋冬大白菜,经济效益可观,近年来种植面积呈上升趋势。重庆市酉阳县春大白菜...
鹿寨县油茶丰产栽培技术要点
摘要广西鹿寨县具有发展油茶产业的良好自然条件,近年来其积极响应政策号召,大力推动油茶产业发展,取得显著成效。为实现鹿寨县油茶的丰产丰收,推动当地油茶产业的可持续健康发展,系统阐述了林地选择、林地清理、整地挖穴、施放基肥、苗木选择、苗木移栽及...
广西国有东门林场油茶速生高产栽培技术探讨
摘要油茶是广西传统经济作物之一,具有显著的经济价值和生态价值。为进一步提高广西国有东门林场油茶的生产效率和品质,推动油茶产业健康可持续发展,简要概括广西国有东门林场情况,从地块选择、整地、优选种苗、苗木处理、植苗及抚育管理6个方面探讨了油茶...
文山州烟草主要病虫害及其防治技术探讨
摘要病虫害是影响云南省文山州烟草产量和品质的主要因素,一旦发生大规模病虫害,会导致烟草歉收、绝收等现象的发生,造成严重且不可挽回的经济损失。为加强文山州烟草病虫害防治,促进烟草产业高质量发展,分析了文山州烟草的主要病虫害,并从物理防治、化学...
宜章县红豆杉育苗及病虫害防治技术探析
摘要红豆杉是一种珍稀且具有重要药用价值的植物,因此其育苗技术和病虫害防治工作尤为重要。为提升湖南省宜章县红豆杉人工培育水平,基于当地现状,从种子处理、育苗地选择与整理、播种及苗期管理等关键环节分析红豆杉育苗技术,同时详细分析红豆杉常见病虫害...
隆德县云杉病虫害防治技术要点
摘要采取科学的云杉病虫害防治措施,对于提升林业生产力、保护生态环境具有重要意义。为给云杉的健康生长提供科学依据,促进宁夏隆德县林业资源的可持续发展,详细探讨云杉锈病、立枯病、根腐病等病害,以及松天牛、蚜虫、云杉阿扁叶蜂等虫害的发生特点,并从...
苏州市香樟主要病虫害及其防治措施
摘要香樟(学名樟)作为重要的城市绿化树种,在江苏省苏州市被广泛种植。然而,大量香樟的种植也致使多种病虫害发生,影响城市绿化效果。因此,对香樟病虫害进行有效防控意义重大。为给苏州市开展香樟病虫害的综合防治工作提供具有实际应用价值的技术参考,深...
病虫害生态防控技术在宿松县森林培育中的应用
摘要在林业经济持续发展的新形势下,构建森林生态环境逐渐成为工作重点,在此期间需要综合考量多方面因素,合理制订防治措施。应用病虫害生态防控技术不仅有助于防治与管理病虫害,还可为林业生态环境建设提供支持。为提高安徽省宿松县病虫害生态防控技术的应...
广西森林资源管护面临的挑战及其对策
摘要广西森林资源丰富,对保护区域生态安全和推动经济发展至关重要。然而,当前森林资源管护面临诸多挑战,如管理体制机制不健全、违规侵占现象突出、火灾防控压力巨大、病虫害防治困难等,公众保护意识也相对薄弱。为构建高效的森林资源管护体系,保障广西森...
贵港市肥料利用管理存在的问题及其对策
摘要实施肥料利用高效管理,对于提高农产品质量、保护生态环境、促进农业现代化发展具有重大意义。为提升广西贵港市肥料利用管理水平,实现农业绿色、高质量发展,以当地肥料利用管理现状为切入点,分析当前存在的主要问题,针对性提出提升农户绿色施肥意识、...
皋兰县节水灌溉技术应用存在的问题及其对策
摘要西北地区水资源短缺,发展高效节水农业意义重大。为提高水资源利用效率,保障甘肃省皋兰县农业的可持续发展,分析皋兰县节水灌溉技术应用存在的灌溉基础设施陈旧落后、新灌溉技术应用不足、作物种植结构不合理、水资源管理机制不完善及农民节水意识薄弱等...
东港市灌溉用水污染问题及其治理对策
摘要农业灌溉作为保障农业发展的重要手段,其水污染问题已成为制约农业可持续发展的关键因素。为解决辽宁省东港市灌溉用水污染问题,促进当地农业高质量发展,在阐述灌溉用水污染问题解决意义的基础上,对当前东港市灌溉用水污染问题进行深入分析,并提出推广...
张掖市农田灌溉用水定额管理对策
摘要在当前水资源紧缺的大背景下,科学合理的农田灌溉用水定额管理对实现节水农业和可持续发展具有重要意义。为完善农田灌溉用水定额管理体系,实现水资源可持续利用,基于甘肃省张掖市农田灌溉用水定额管理现状,深入分析用水计量不准确影响定额执行、超定额...
东港市农田水利建设对生态环境的影响及其对策
摘要农田水利建设是优化农业生产、改善农田生态环境的重要方式,对农业经济的发展有重要影响。为了促进辽宁省东港市农田水利建设,结合当地农田水利建设情况,探究农田水利建设对农业生态环境的积极影响与消极影响,提出加强水域环境保护,防控水体污染;优化...
潞党参连作障碍作用机制探讨
摘要潞党参是山西省平顺县特产,作为中国农产品地理标志保护产品,具有重要的药用价值和经济价值。然而,随着潞党参种植年限的延长,连作障碍日益显著,对潞党参的产量和品质造成了严重的威胁,进而影响了潞党参产业的发展。为促进潞党参产业的高质量、可持续...
MutMap技术在水稻耐盐育种领域的研究进展
摘要水稻作为全球1/2以上人口的主食,其重要性不言而喻。水稻是易受盐胁迫的作物,盐胁迫会显著抑制水稻生长并降低产量,而水稻通过离子平衡调节等机制应对盐胁迫。MutMap是一种用于定位和识别与特定性状相关的基因突变的技术,广泛应用于植物遗传学...
白首乌 C21 留苷的提取与生物活性研究进展
摘要白首乌作为我国传统的药食同源作物,可补肾益肝、延缓衰老、强筋健骨、乌须生发。 C21 甾苷是白首乌具有药理作用的重要物质基础,为白首乌 C21 甾苷资源的综合开发利用提供参考,从白首乌 C21 甾苷的组成和结构、提取工艺、生物活性3方面...
花椒及其废弃物资源化利用研究进展
摘要在花椒栽培、采收及加工过程中会产生大量花椒废弃物,目前这些废弃物多被当作垃圾随意丢弃或楚烧,不仅造成资源浪费,还会引发环境污染问题。为提高花椒废弃物资源化利用水平,深入探讨花椒的分类、营养化学成分及其应用,梳理花椒籽与花椒油渣、花椒枝叶...
植物叶绿体基质小管研究进展
摘要叶绿体基质小管是植物细胞内的一种重要亚细胞结构,对植物生长发育和抗病性能具有重要的调控作用。为给提高植物生物量和抗逆性、探索植物生长发育的新途径提供有力支持,综述叶绿体基质小管的结构、形态特征、功能(参与光合作用、调控植物生长发育、参与...

农业经济

基于四川省166个区县面板数据的风险补偿金制度对农业生产集聚的影响
摘要基于2010—2022年四川省166个区县的面板数据,采用多时点双重差分法,探讨风险补偿金制度对农业生产集聚的影响。结果表明:风险补偿金制度显著促进了农业生产集聚效应,且在多种稳健性检验中均得到证实。通过异质性分析进一步发现,在成都平原...
山东省数字经济与农业现代化融合发展现状及对策研究
摘要山东省是我国重要的农业大省,其农业现代化进程对全国食品安全和农村经济发展具有重要意义。随着数字经济的快速发展,数字经济与农业现代化的耦合协调发展成为推动农业农村高质量发展的重要路径。基于耦合协调理论,构建了山东省数字经济与农业现代化的评...
奉节县肉兔产业高质量发展对策探讨
摘要兔产业是畜牧业的重要组成部分,在保障肉类供应、促进农民增收等方面具有重要作用。肉兔产业具有投资小、见效快、收益高、生态环境友好、市场潜力大等特点。近年来,奉节县利用独特的地理环境和资源禀赋,大力发展肉兔产业,2024年出栏量突破500万...
云浮市预制菜产业发展痛点及对策分析
摘要预制菜产业能够融合发展一二三产业,对促进农业产业升级和乡村振兴具有重要作用。为促进广东省云浮市预制菜产业高质量发展,从企业、产品、产业集群及出口情况等方面介绍云浮市预制菜产业发展现状,剖析云浮市预制菜产业发展痛点,并提出加大培育预制菜企...
陇西县林木种苗产业高质量发展策略探讨
摘要林木种苗作为林业发展的基础与核心要素,对促进林业生态建设和产业经济增长起着决定性作用。为给甘肃省陇西县林木种苗产业健康成长提供有益的理论依据与实践参考,聚焦陇西县林木种苗产业,结合陇西县种苗生产能力、产业结构、育苗基地建设及质量监管等方...
峨山县双江街道农业产业化发展现状问题及对策
摘要为加快云南省峨山县双江街道农业产业化发展进程,提升农业综合效益,促进农民增收与农村经济的繁荣发展,通过深入剖析双江街道农业产业化发展现状,精准识别双江街道农业产业化发展存在的农田水利设施配套不完善、耕地耕作条件亟待优化升级、产业化程度不...
淮安市休闲农业发展现状问题及对策
摘要休闲农业发展有助于推进农村产业融合、农业转型升级,为加快农业农村现代化提供了有力的产业支撑。为推动江苏省淮安市休闲农业的可持续发展,总结淮安市休闲农业发展优势和现状,分析其存在的整体发展规划有待完善、服务管理体系有待完善、休闲农业特色资...
兴山县茶产业品牌建设研究
摘要为了助推湖北省兴山县茶产业品牌建设,结合兴山县茶产业发展现状,分析了其品牌建设中存在的总是,并结合成功案例进行剖析,最后提出“塑造公共品牌形象、开展“三品”提升行动、推进茶旅融合发展、壮大社会服务体系、落实政策支持保障”等对策。...
广东省“百千万工程”背景下化橘红产业区域品牌创新营销策略
摘要广东省“百千万工程”为化橘红产业带来了前所未有的发展机遇。为提升广东省化橘红产业区域品牌建设与创新营销水平,基于化橘红产业区域品牌发展现状,分析广东省化橘红产业区域品牌营销存在的问题,包括文化传承乏力,历史底蕴难以彰显;品牌定位模糊,宣...
广安市家庭农场发展现状问题及对策
摘要党的十九大以来,四川省广安市积极实施现代农户家庭农场培育行动,并取得初步成效,实现既定目标。为促进广安市家庭农场实现高质量发展,推进家庭农场发展由数量增长向量质齐升转变,分析当地家庭农场发展现状,指出当前家庭农场发展存在的适度规模化经营...
内蒙古黑土地保护利用现状、问题及对策
摘要黑土地是世界上最珍贵的土壤资源之一,独特的理化性质使其成为最适宜植物生长的土壤类型之一。内蒙古作为我国重要的黑土地分布区域之一,保护和利用好当地的黑土地资源,对于推动区域农业可持续发展具有重要意义。近年来,内蒙古从多方面采取措施合理保护...
崇左市耕地保护困境及对策探讨
摘要在经济快速发展、城市化进程加快的背景下,广西崇左市耕地保护面临诸多挑战。为助力崇左市实现耕地资源的可持续利用,促进当地农业健康稳定发展,聚焦崇左市耕地保护问题,深入剖析其面临的耕地数量减少、耕地质量下降、耕地生态被破坏及监管难度大等困境...
呼伦贝尔市耕地质量现状及提升对策
摘要阐述了呼伦贝尔市耕地数量与分布、质量状况和种植结构等耕地利用现状,深入剖析了耕地土壤退化严重、水资源利用效率低、水土流失突出、耕地保护意识淡薄等问题,提出以普查数据为基础摸清土壤“家底”、强化土壤肥力培育、推进耕地生态系统保护与建设、治...

园林园艺

厦门市新阳街道园林绿化工程施工与养护策略
摘要在面对复杂现场条件时,科学开展施工规划和应用创新技术是确保园林绿化工程高质量完成的关键。为保证福建省厦门市新阳街道园林绿化工程长期稳定运行,基于城市更新与绿色环保理念的发展需求,结合福建省厦门市新阳街道园林景观绿化工程项目实例,明确其中...
潍坊市北海路口袋公园绿地改造实践探索
摘要在城市小微空间、原有绿地基础上改造建设口袋公园,是城市绿地提升的有效途径。为进一步推进疏绿透美,有效破解高密度公共绿地服务功能失衡及空间品质不高等现实困境,以山东省潍坊市北海路口袋公园绿地改造建设项目为例,从建设背景、设计思路、改造措施...
城市山地公园边坡生态防护技术实践与优化探析
摘要随着城市化进程的加快,城市山地公园的开发面临边坡稳定性与生态保护的双重挑战。基于此,以广东省深圳市龙岗儿童公园为例,系统探讨边坡生态防护技术的实践与优化路径。通过分析土质与岩质边坡的地质特征,综合应用客土喷播、三维植被网及喷混植生等生态...
贵州省园林绿化病虫害防治存在的问题及其对策
摘要贵州省园林绿化快速发展,对城市生态环境和居民生活质量提升意义重大。然而,病虫害问题日益突出,对园林植物健康和景观效果构成严重威胁。为提高贵州省园林绿化病虫害防治水平,保障城市生态安全和景观品质,论述贵州省自然环境与园林绿化概况,分析当前...

农业经纬

重庆农产品及农资价格周报2025年第30期
1 粮油监测品种总体价格环比、同比 均下跌 根据重庆市农业信息中心对重庆市各区县农贸市场10个主要粮油品种价格监测,第30周(2025-07-21—2025-07-27)重庆粮食均价5.09元(千克价,以下同)、食用油均价15.02元,环比...
重庆农产品及农资价格周报2025年第31期
1 粮油监测品种总体价格环比平稳, 同比跌 根据重庆市农业信息中心对重庆市各区县农贸市场10个主要粮油品种价格监测,第31周(2025-07-28—2025-08-03)重庆粮食均价5.11元(千克价,以下同)、食用油均价15.00元,环比...
重庆农产品及农资价格周报2025年第32期
1 粮油监测品种总体价格环比平稳, 同比下跌 根据对重庆市各区县农贸市场10个主要粮油品种价格监测,第32周(2025-08-04—2025-08-10)重庆粮食均价5.12元(千克价,以下同)、食用油均价15.03元,环比分别上浮 0.0...
相关杂志
  • 农家书屋

    农家书屋

    2025年11期
    ¥20.00
  • 新农业

    新农业

    2025年08期
    ¥3.69
  • 农村百事通

    农村百事通

    2025年11期
    ¥6.00
  • 中国瓜菜

    中国瓜菜

    2025年11期
    ¥3.00
  • 农村·农业·农民

    农村·农业·农民

    2025年11期
    ¥6.00
  • 农民科技培训

    农民科技培训

    2025年11期
    ¥4.29
  • 农民致富之友

    农民致富之友

    2025年33期
    ¥12.00
  • 当代县域经济

    当代县域经济

    2025年12期
    ¥15.00
  • 种子科技

    种子科技

    2025年21期
    ¥7.29
  • 农业研究与应用

    农业研究与应用

    2025年06期
    ¥3.69
  • 天津农业科学

    天津农业科学

    2025年10期
    ¥3.00
  • 农家致富顾问

    农家致富顾问

    2025年06期
    ¥9.00
订阅全年后,您可享受以下权益
①该本杂志即日起至未来1年内所有更新电子版杂志的使用权限;
②赠送该杂志的部分往期的杂志的使用权限,有效期1年。

全年订购价格: ¥58.68

订阅全年
--%>

登录龙源期刊网

温馨提示:

1.点击网站右上角的“充值”按钮可以为您的账号充值

2.充值金额可以选择30,50,100或500元

3.充值成功后即可购买网站上的任意杂志或文章

还没有龙源账户? 立即注册

购买杂志

南方农业·上

杂志价格:¥4.89元

  • 微信扫码支付
  • 当前余额:100.00

购买杂志

南方农业·上

杂志价格:¥4.89元

  • 微信扫码支付
  • 当前余额:¥100.00

    去充值
monitor
客服机器人