两个香菇品种的生长特性研究

打开文本图片集
中图分类号: S646.1+2 文献标志码:A DOI:10.19415/j.cnki.1673-890x.2025.15.007
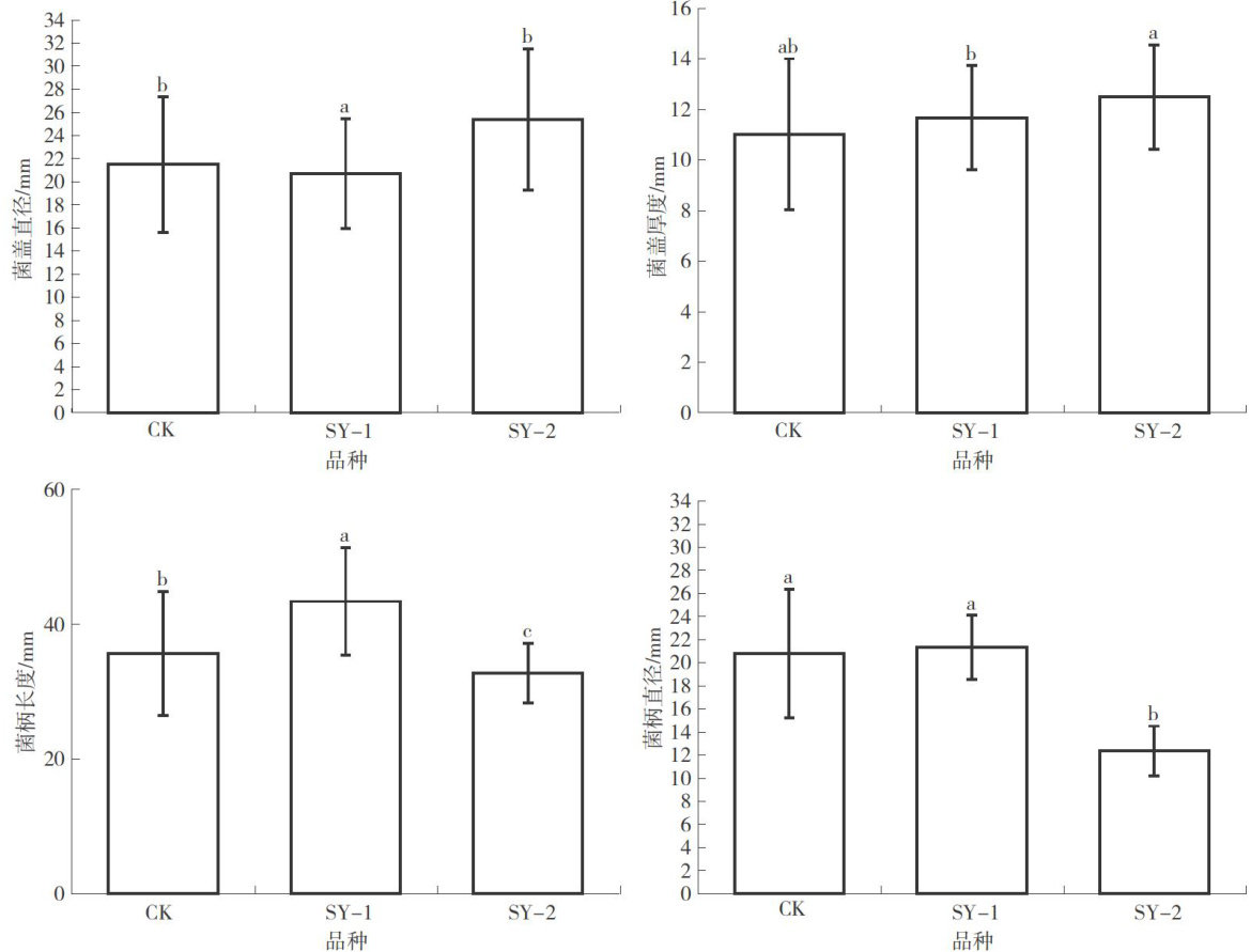
香菇[Lentinulaedodes(Berk.)Pegler]属于担子菌(Basidio-mycota)伞菌纲(Agaricomycetes)伞菌目(Agaricales)光茸菌(Omphalotaceae)香菇属(Lentinula),也称冬菇、花菇,内含多糖、蛋白质、矿物质、氨基酸等丰富的营养元素,因此在民间也有“山珍”之称。(剩余4529字)