吉林大学学报(理学版)

吉林大学学报(理学版)

2025年05期
  • 收藏
收藏成功
微博 空间 微信
《吉林大学学报(理学版)》(原名为《吉林大学自然科学学报》是教育部主管的、吉林大学主办的自然科学领域的综合性学术期刊。创...     展开

类型

双月刊

类别

定价
促销信息
全年订阅更优惠!
¥50.00 ¥10.00
目录

数学

RD-空间上多线性强奇异Calderon-Zygmund算子及交换子在加权乘积Morrey空间上的有界性
摘要:利用Hardy-Littlewood极大算子的加权有界性和Sharp 极大函数的点态估计等工具,给出RD(reverse doubling)-空间上多线性强奇异Calderon-Zygmund 算子及其与BMO(boundedmean...
一般Gaussian 测度Fock空间上对偶Toeplitz算子的紧性
摘要:针对一般Gaussian测度Fock空间上对偶Toeplitz算子的紧性问题,先定义对数型完全平方函数,再通过构造一族函数,利用放缩和乘法算子分解等方法,给出一般Gaussian测度Fock空间上对偶Toeplitz算子有界性和紧性的...
一类非局部非线性分数阶方程内部最优控制的存在性
摘要:针对复杂动态系统的精确建模和高效控制问题,讨论含有 0<s?1 阶分数Laplace算子的非局部非线性方程的最优控制模型.首先,用Schauder不动点定理和Gronwall不等式证明该方程解的存在性和唯一性;其次,通过引入测度...
一类一阶半正周期边值问题正解的存在性
摘要:考虑一阶半正周期边值问题...
一类临界Kirchhoff-Choquard 型问题正基态解的存在性
摘要:考虑一类临界Kirchhof-Choquard型问题正基态解的存在性.首先,采用截断函数的性质和积分估计对上临界指数进行分类,并对位势函数施加一定的可积性条件;其次,通过引入Nehari流形,并利用Ekeland变分原理,获得了在适当...
分数阶非自治时滞发展方程初值问题解的存在性
摘要:在Banach空间中,用Kuratowski非紧性测度及Sadovskii不动点定理,研究分数阶非自治时滞发展方程的初值问题,在较弱的非紧性测度和增长条件下,证明该问题温和解的存在性....
具脉冲收获时滞与出生的系统切换动力学模型分析
摘要:首先,利用Jury判据和谱半径方法研究具脉冲收获时滞与出生的系统切换动力学模型,证明脉冲系统周期解的渐近稳定性,并给出种群灭绝的阈值,其次,考虑到种群持续生存和收获量,在不同情形下讨论收获时滞的合理取值,并利用数值仿真验证理论结果....
带时间依赖记忆核的非局部非经典扩散方程解的长时间动力学行为
摘要:当非线性项满足次临界增长条件时,在时间依赖空间 H01(Ω)×Lμt2(R+;H01(Ω)) 中讨论带时间依赖记忆核的非局部非经典扩散方程解的长时间动力学行为.先利用Galerkin逼近法得到解的适定性和正则性,然后借助分解...
具有替代性食饵和Michaelis-Menten型收获的 捕食者-食饵模型的稳定性及分支分析
摘要:考虑具有替代性食饵及Michaelis-Menten型收获的捕食者-食饵模型.首先,讨论其边界平衡点与内部平衡点的存在性和稳定性,其次,以Michaelis-Menten型收获系数为分支参数,利用Hopf分支定理证明其内部平衡点处Ho...
右删失数据下部分时间相依协变量的加性Interquantile回归
摘要:利用Interquantile回归模型具有灵活、稳健、适用范围广的特征,对响应变量存在右删失、协变量存在时间相依关系以及部分非线性结构的数据,建立加性Interquantile回归模型,以避免传统分位数回归模型单独对相邻分位数估计时出...
混频数据分位回归模型的 Bayes 分析
摘要:针对混频数据的建模问题,提出自回归 U-MIDAS(unrestricted mixed data sampling)分位回归模型,首先,结合嵌套Lasso 惩罚方法及 spike-and-slab 先验进行 Bayes 参数估计和变...
具有相依Bernoulli计数序列的 RCINAR(p)模型的极大似然估计
摘要:用具有相依Bernoulli计数序列的 p 阶随机系数整数值自回归RCINAR (ρP) 模型解决计数变量存在相关性特征数据的分析问题,得到了该模型的统计性质、参数条件极大似然估计及其渐近正态性,并通过实际数据分析验证了模型的有效性,...
求解四阶半线性抛物方程的B样条有限元法
摘要:首先,用三次B样条有限元法求解一类带有变系数的四阶半线性抛物方程,证明半离散格式的稳定性和收敛性;其次,用Crank-Nicolson方法离散时间变量得到全离散格式,讨论全离散格式的稳定性和收敛性;最后,在数值算例中,采用Picard...
一类图邻接矩阵的行列式及积和式
摘要:基于图上的Sachs子图计算图邻接矩阵的行列式与积和式的一个公式,分别给出计算图邻接矩阵的行列式与积和式的一个删点的递推公式,并利用这些递推公式,分别给出计算彩球图邻接矩阵的行列式与积和式的方法,结果表明,彩球图邻接矩阵的行列式等于一...

计算机科学

面向数据并行深度学习的准确率感知稀疏梯度融合算法
摘要:针对数据并行的深度学习作业中梯度同步导致的性能瓶颈问题,提出一种动态的稀疏梯度融合算法.该算法将梯度压缩、流水线技术与张量融合技术进行协同建模,建立稀疏梯度融合行为对准确率影响的理论模型,并基于此寻找加快梯度同步的同时提高验证准确率的...
多头注意力结合时间卷积的情绪识别方法
摘要:针对情绪产生过程中脑电信号的通道和时间片段中蕴含丰富的情绪信息,并且不同的时间片段在情绪识别中的重要性不同,如何捕获关键特征、突出关键时间片段信息的难题,提出一种脑电多维度特征情绪识别方法,该方法充分利用生理信号的频率、空间、时间特征...
基于改进北方苍鹰优化算法的时间卷积网络及其应用
摘要:针对时间卷积网络存在的超参数选择困难及预测结果波动性较大的问题,提出一种基于改进北方苍鹰优化算法的时间卷积网络模型.首先,提出一种基于混合策略改进的北方苍鹰优化算法,通过融合Sine混沌映射初始化种群、引入非线性惯性权重调整策略以及结...
桁架穹顶复杂优化求解的遗传算法
摘要:针对传统遗传算法在复杂高维优化问题中适应度计算代价较高的问题,提出一种基于流形学习与多元线性回归的改进遗传算法Gamma.Gamma算法通过流形学习对种群数据进行降维,并结合AP聚类(affinity propagation clus...
基于循环神经网络与注意力机制的波动预测模型
摘要:针对经典机器学习算法(如决策树、随机森林)在建模复杂隐式交互关系时预测准确率较低的问题,提出一个基于循环神经网络与注意力机制的波动预测模型.首先通过注意力机制计算各影响因素之间复杂的交互关系,然后采用循环神经网络学习表示模型的隐变量,...
基于自适应动态特征加权的K-means算法
摘要:首先,针对传统 K -means算法在处理高维异构数据时存在特征平等假设导致重要特征被忽视、聚类结果对预设簇数高度敏感以及对初始中心点选择强依赖性的问题,提出一种自适应动态特征加权 K -means (adaptive dynamic...
基于复杂网络聚类算法的用户学习行为动态演化模型
摘要:为深入了解用户的学习习惯和发展趋势,根据用户需求和行为动态合理地调整教育资源,提出一个基于复杂网络聚类算法的用户学习行为动态演化模型.首先,设计复杂网络聚类模型,得到用户学习行为社区;其次,通过语义二值获得数据关联规则分布,利用多元回...
基于双域查询增强Transformer的遥感图像旋转小目标检测
摘要:针对遥感图像中旋转小目标在尺度受限、姿态多样及复杂背景条件下检测精度不足的问题,提出一种旋转感知双域查询增强的Transformer网络方法.该方法采用卷积神经网络提取多尺度特征,并在编码端引入空间和频率双域联合增强机制,其中空间自适...
基于扩展局部二值模式的多尺度人脸表情识别方法
摘要:针对人脸表情识别在复杂环境下姿态和光照鲁棒性差的问题,提出一种融合扩展局部二值模式和多尺度网络结构的人脸表情识别方法.该方法通过扩展传统局部二值模式的感受野并增强像素间的空间联系,减少光照对人脸表情识别的噪声干扰;通过将特征图在通道维...
基于特征分离和全局上下文的红外小目标检测方法
摘要:针对基于单帧红外小目标检测存在的难题,提出一种基于特征分离和全局上下文的红外小目标检测方法,首先,针对小目标特征不足的问题,设计特征分离模块,通过中心差分卷积捕获目标背景对比度差异,结合快速Fourier卷积提取边缘梯度信息,实现目标...
基于机器学习的畸变图像非对称式几何校正方法
摘要:针对实际图像畸变通常不均匀分布、呈现非对称特征的问题,为提高图像质量,使其更接近真实情况,精细调整图像中不同区域、不同方向的畸变,从而恢复图像的原始形态,提出一种基于机器学习的畸变图像非对称式几何校正方法.首先,通过直方图均衡化进行亮...
SDN中基于 φ -熵与IDBO-RF的DDoS攻击联合检测模型
摘要:为减少软件定义网络中分布式拒绝服务攻击检测中的资源消耗,提高检测精度,提出一种基于 φ 熵与IDBO-RF的二级联合检测模型.首先,通过计算目的IP地址 φ 熵筛选异常流量完成一级触发检测;其次,利用改进蜣螂优化算法优化随机森林的超参...
基于模糊聚类的多传感器数据融合算法优化
摘要:针对受传感器本身误差和外界干扰的影响,不同传感器获取的数据可能存在不确定性和不一致性的问题,为有效消除数据之间的矛盾和冲突,提升数据融合效果,提出一种基于模糊聚类的多传感器数据融合算法.首先,采用D-S(Dempster-Shafer...

物理

微米级微量含能材料激光刺激响应过程观察系统
摘要:针对高压产生装置金刚石对顶砧合成的含能材料样品量少,难以满足测试设备对样品量下限的需求,以及高压合成的样品不易从样品腔中剥离出来,难以采用已有设备对样品进行表征的问题,设计并自主搭建一套可实现对微米样品开展可控激光刺激随时间响应状态的...
一类耦合模型双参数反演的正则化PINNs算法
摘要:讨论一类温度场-结晶耦合模型的双参数反问题,提出稳定化数值算法,以识别成核率和生长速率,并验证算法的抗噪性.将耦合模型嵌入深度神经网络的损失函数中,基于最小化损失函数更新神经网络参数,得到正问题的近似解;针对反问题,构造带正则化项的损...
高斯白噪声激励下四辊冷带轧机的随机分岔分析
摘要:建立高斯白噪声激励下四辊冷带轧机动力学模型.利用拟不可积Hamilton系统的随机平均法将系统简化为Ito随机微分方程,通过系统不变测度的最大Lyapunov指数和随机分岔理论,分析系统的局部稳定性和随机Hopf分岔,并用MonteC...

材料科学

基于热超构材料的设计与时域有限元模拟
摘要:利用分层近似思想和有效介质理论设计变换热力学装置的材料参数,并给出时域有限元模拟.首先,利用变换热力学理论,推导出热斗篷、热集中器和热旋转器3种装置的理想材料参数,其次,利用分层近似思想消除参数的非均匀性,设计出分层结构,为消除分层结...

化学

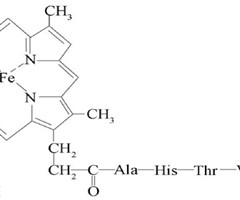
mPEG-DhHP-6的合成及其改善缺血再灌注心脏损伤
摘要:为增加次血红素六肽(DhHP-6)的相对分子质量,通过聚乙二醇(PEG)修饰合成mPEG-DhHP-6,调整二甲基亚砜(DMSO)和磷酸盐(PBS)缓冲液的体积比可获得约 95% 的产率.mPEG-DhHP-6比DhHP-6的稳定性和...
多功能梭形 Fe3O4( @PDA纳米载体的制备与表征
摘要:针对聚多巴胺(PDA)基纳米药物载体药物负载率低的共性问题,合成具有独特梭形结构的 Fe3O4@PDA 纳米粒子(NPs),该载体独特的梭形结构可实现高达 90%(900μg/mg) 的药物负载率,显著优于传统PDA基载体.实验结果表...
具有AIE效应的UiO-67型金属有机骨架合成及其对呋喃类抗生素的荧光检测
摘要:以具有聚集诱导发光性能的四苯基乙烯修饰的联苯二甲酸为连接体,通过混合配体策略设计合成具有UiO-67构型的金属有机骨架材料tpe-UiO-67,用Fourier变换红外光谱、X射线粉末衍射、核磁共振H谱和差热热重等方法对其表征,并将其...

生命科学

黄精多糖螯合锌的制备工艺优化及对Caco-2细胞锌转运蛋白表达的影响
摘要:为开发一种新型有机补锌剂,将药食同源植物黄精(Polygonatumrhizoma)中的黄精多糖与硫酸锌进行螯合制备黄精多糖螯合锌,优化螯合工艺,并通过紫外-可见光谱、Fourier变换红外光谱、扫描电镜及体外Caco-2细胞吸收模型...
相关杂志
订阅全年后,您可享受以下权益
①该本杂志即日起至未来1年内所有更新电子版杂志的使用权限;
②赠送该杂志的部分往期的杂志的使用权限,有效期1年。

全年订购价格: ¥60.00

订阅全年
--%>

登录龙源期刊网

温馨提示:

1.点击网站右上角的“充值”按钮可以为您的账号充值

2.充值金额可以选择30,50,100或500元

3.充值成功后即可购买网站上的任意杂志或文章

还没有龙源账户? 立即注册

购买杂志

吉林大学学报(理学版)

杂志价格:¥10.00元

  • 微信扫码支付
  • 当前余额:100.00

购买杂志

吉林大学学报(理学版)

杂志价格:¥10.00元

  • 微信扫码支付
  • 当前余额:¥100.00

    去充值
monitor
客服机器人