注册帐号丨忘记密码?
1.点击网站首页右上角的“充值”按钮可以为您的帐号充值
2.可选择不同档位的充值金额,充值后按篇按本计费
3.充值成功后即可购买网站上的任意文章或杂志的电子版
4.购买后文章、杂志可在个人中心的订阅/零买找到
5.登陆后可阅读免费专区的精彩内容
打开文本图片集
中图分类号:TV62
文献标志码:A
随着“十四五”水利基建投资规模突破1.1万亿元,2023年全国在建重大水利工程达437项,砂石骨料、水泥、钢材等大宗建材需求占全球总消耗量的 35%~40% ,但原材料产地与工程区域的空间错配形成显著矛盾[1]。例如,西南地区水电工程 60% 的混凝土骨料需要跨省运输,运输成本占比高达总投资的 18%~22% 。(剩余5965字)
登录龙源期刊网
购买文章
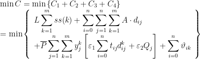
基于自修正遗传算法的下水库大坝原料调配技术
文章价格:5.00元
当前余额:100.00
阅读
您目前是文章会员,阅读数共:0篇
剩余阅读数:0篇
阅读有效期:0001-1-1 0:00:00