注册帐号丨忘记密码?
1.点击网站首页右上角的“充值”按钮可以为您的帐号充值
2.可选择不同档位的充值金额,充值后按篇按本计费
3.充值成功后即可购买网站上的任意文章或杂志的电子版
4.购买后文章、杂志可在个人中心的订阅/零买找到
5.登陆后可阅读免费专区的精彩内容
打开文本图片集
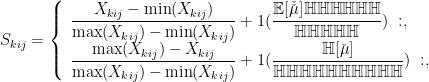
随着中国经济发展进入新发展阶段,未来的农业发展将由高速发展转向高质量发展阶段[1.我国“三农”工作取得了巨大成就[2],但农业资源短缺、环境污染、地区之间的农业经济发展水平参差不齐等问题依然突出,这严重阻碍了我国由“农业大国"向“农业强国"转型[3],要解决当下农业发展困境,就必须要推动农业增产向提(剩余15210字)
登录龙源期刊网
购买文章
三大粮食功能区视角下农业高质量发展:时空演进、区域差异及空间关联
文章价格:6.00元
当前余额:100.00
阅读
您目前是文章会员,阅读数共:0篇
剩余阅读数:0篇
阅读有效期:0001-1-1 0:00:00