注册帐号丨忘记密码?
1.点击网站首页右上角的“充值”按钮可以为您的帐号充值
2.可选择不同档位的充值金额,充值后按篇按本计费
3.充值成功后即可购买网站上的任意文章或杂志的电子版
4.购买后文章、杂志可在个人中心的订阅/零买找到
5.登陆后可阅读免费专区的精彩内容
打开文本图片集
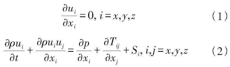
【摘要】为综合改善某车型气动力系数,提出一种外形优化设计方案。首先采用Realizable k-ε湍流模型对汽车无侧风工况进行数值模拟,并结合风洞试验验证了仿真模型的可靠性。在此基础上,研究不同侧风角对汽车气动特性的影响,并以横摆角12°时的气动力系数为优化参考基准,通过均匀拉丁超立方抽取样本进行流场计算,应用响应面模型近似汽车造型参数与气动力系数的对应关系,基于遗传算法得到Pareto前沿解。(剩余12028字)
登录龙源期刊网
购买文章
基于响应面模型的汽车气动特性优化
文章价格:6.00元
当前余额:100.00
阅读
您目前是文章会员,阅读数共:0篇
剩余阅读数:0篇
阅读有效期:0001-1-1 0:00:00