注册帐号丨忘记密码?
1.点击网站首页右上角的“充值”按钮可以为您的帐号充值
2.可选择不同档位的充值金额,充值后按篇按本计费
3.充值成功后即可购买网站上的任意文章或杂志的电子版
4.购买后文章、杂志可在个人中心的订阅/零买找到
5.登陆后可阅读免费专区的精彩内容
打开文本图片集
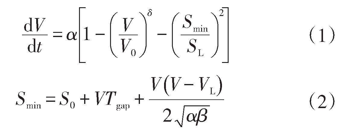
【摘要】针对新能源汽车能量管理中难以长期、精准地预测车速的问题,提出了一种基于模型的参数化车速预测方法,利用传感器和GPS提供的前瞻数据预测车辆的速度轨迹。首先根据整车动力学和车辆停车转弯趋势建立基于智能驾驶员模型(IDM)的车速预测算法;然后,从NGSIM公开数据集中筛选数据用于参数标定及仿真;最后,利用遗传算法(GA)对算法参数进行标定。(剩余14828字)
登录龙源期刊网
购买文章
基于智能驾驶员模型算法的长期跟车车速预测研究
文章价格:6.00元
当前余额:100.00
阅读
您目前是文章会员,阅读数共:0篇
剩余阅读数:0篇
阅读有效期:0001-1-1 0:00:00