注册帐号丨忘记密码?
1.点击网站首页右上角的“充值”按钮可以为您的帐号充值
2.可选择不同档位的充值金额,充值后按篇按本计费
3.充值成功后即可购买网站上的任意文章或杂志的电子版
4.购买后文章、杂志可在个人中心的订阅/零买找到
5.登陆后可阅读免费专区的精彩内容
打开文本图片集
中图分类号:0241.82 文献标志码:A DOI: 10.19907/j.0490-6756.240124
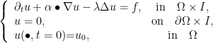
作为描述流体在空间中传输的重要数学模型,对流扩散方程同时考虑对流和扩散作用。对流扩散方程数值解法主要有限差分法[1],有限体积法[2]及有限元法[3]等。对于具有刚性扩散项和非刚性对流项的对流扩散方程,现有数值解法均或多或少地存在稳定性低、出现次优收敛性4等问题,难以满足实际需求。(剩余12531字)
登录龙源期刊网
购买文章
对流扩散方程的隐显龙格库塔间断有限元法
文章价格:6.00元
当前余额:100.00
阅读
您目前是文章会员,阅读数共:0篇
剩余阅读数:0篇
阅读有效期:0001/1/1 0:00:00