注册帐号丨忘记密码?
1.点击网站首页右上角的“充值”按钮可以为您的帐号充值
2.可选择不同档位的充值金额,充值后按篇按本计费
3.充值成功后即可购买网站上的任意文章或杂志的电子版
4.购买后文章、杂志可在个人中心的订阅/零买找到
5.登陆后可阅读免费专区的精彩内容
打开文本图片集
中图分类号:0241.82 文献标志码:A DOI: 10.19907/j.0490-6756.250047
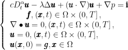
作为经典Navier-Stokes方程的推广,时间分数阶Navier-Stokes方程在湍流、非均质流动和材料、粘弹性和电磁理论等领域有着广泛应用[1-5]。在大多数情况下,求非线性分数阶Navier-Stokes方程的解析解很困难,因而研究其数值解法具有重要价值[1]。(剩余13582字)
登录龙源期刊网
购买文章
分数阶Navier-Stokes方程的弱Galerkin有限元解
文章价格:6.00元
当前余额:100.00
阅读
您目前是文章会员,阅读数共:0篇
剩余阅读数:0篇
阅读有效期:0001/1/1 0:00:00