新农民

新农民

2023年26期
  • 收藏
收藏成功
微博 空间 微信
《新农民》杂志创刊于1991年,是经国家新闻出版署批准,由河北省农村发展教育培训中心主管主办的面向三农、服务三农的全国性...     展开

类型

旬刊

类别

农业乡村
定价
促销信息
全年订阅更优惠!
¥20.00 ¥6.00
目录

乡村振兴

高校青年参与乡村振兴路径研究
摘要:乡村振兴战略的全面开展,促进人才特别是青年人才支援家乡建设,而高校作为国家培养青年人才的主阵地,如何引导高校青年有效参与推进国家治理体系和治理能力现代化是迫切需要解决的难题。社会实践是大学生探索社会、融入社会、助力乡村振兴的重要基础,...
乡村振兴视角下的农村贫困治理路径探究
摘要:乡村振兴战略的实施,对农村经济发展和解决“三农”问题起到了关键性的推动作用。但从另一个角度来看乡村振兴的实现是建立在切实解决农村贫困问题的基础上的,农村贫困问题治理的成效和结果直接影响着乡村振兴战略的实施进度,因此探究如何更好地解决农...
高校思政教育助力乡村振兴的内在逻辑
摘要:随着“大思政”格局的构建,高校中思政教育的地位越来越凸显,在整个高校教育体系中发挥着独特作用,该课程担负着为党和国家育才、铸魂等任务。乡村振兴作为现阶段实现社会主义现代化的重要一环,满足乡村发展的更高要求和面临现实困难仍然较大的矛盾下...

聚焦三农

绿色背景下农业发展模式
摘要:绿色农业作为一种可持续、高效、环保的新型发展模式,正逐步受到各国农业从业者和政策制定者的青睐。本文从绿色农业发展理念与模式入手,选取乌达区这种小农业地区为研究对象,对其绿色农业发展现状及现存问题展开了剖析,指出其存在农田碎片化严重,对...
低碳经济时代转变农业经济发展方式探析
摘要:在新时期想要达成经济可持续发展目标,就必须在保护周围环境的同时充分利用各项资源。在低碳经济时代,世界各国需要考虑到自然环境需求,优化原有农业经济模式,确保农业经济发展可以在保护自然环境的同时,提高农村群众经济收益。本文简要介绍了低碳经...
新农村建设下农业经济管理创新路径分析
摘要:随着国家对新农村建设的宣传与支持力度增加,我国农村地区的经济获得了显著发展。新农村的发展对保持我国国民经济平稳、快速发展具有重要作用。农业经济管理在新农村建设中直接关系其质量与水平,高质量的农业经济管理是推动新农村发展的重要支撑。为了...

地方农业

深入挖掘农耕文化,助力稻姜园区创新建设
摘要:分析了四川省乐山市五通桥区水稻、生姜种植历史渊源和传统农耕文化,概述了西坝生姜特有的种植技术和当地独特的生姜饮食文化,古法传承,精耕细作。应深入挖掘西坝生姜与水稻传统农耕文化,将“稻+姜”传统农耕文明传承、保护和利用好,把传统农耕文化...
数字金融对武威市农业产业化的影响探究
摘要:我国金融业在覆盖范围、应用深度以及数字化程度方面呈现出跨越式发展。其中,数字普惠金融的发展对乡村产业振兴起到了促进作用。数字普惠金融通过缓解金融排斥、加速农村金融创新、满足农业产业化金融需求,为乡村经济发展提供了支持。数字普惠金融可以...

工作研究

信息化测绘技术在全国国土调查中的运用
摘要:随着社会的发展,科技的进步,人们的生活和工作发生了翻天覆地的变化,计算机制图技术也取得了良好的发展,它被广泛应用于国土规划、城市建设、土地测绘中。为了确保测绘的准确性,同时提高工作效率和质量,计算机制图技术的使用不仅有效改善传统测绘方...
地理信息技术在自然保护区管理中的应用研讨
摘要:地理信息技术作为“3S”技术中的基础性工具,因具备精度较高、可视化等优势被深度开发与应用。将地理信息技术应用到自然保护区管理工作中,能够对自然保护区独特的空间进行分析,对自然保护区内的生态系统与资源开发等工作也有较大的帮助,能够有效降...
探析森林培育中提高森林质量的有效途径
摘要:新时代发展背景下,可持续发展理念也逐渐地成了森林资源管理工作中非常重要与关键的存在。也正是在这样的大环境背景下,不断地加强对森林质量的有效性管理与分析,可以极大层面上地为城市范围内生态环境质量的全面提升,奠定更为完善的基础与前提条件。...
浅论我国基层农业技术推广与应用体系建设
摘要:技术推广与应用体系建设是我国基层农业工作的重点之一,通过该体系建设可以有效发展农村经济,促进农民生产积极性和创造力提高有重大作用,但目前我国基层农技人员队伍素质偏低、培训不到位等问题,制约着技术在实践过程中的顺利开展。因此,建设基层农...
农村生活垃圾治理及管理对策探究
摘要;随着社会的发展与时代的进步,我国对于环境保护方面工作的重视程度已进一步提高,为满足时代发展下的可持续发展要求,需要对各类生活垃圾进行治理与管理,因此农村地区生活垃圾的治理与管理已成为学界热点话题。基于此,本文简单分析农村生活垃圾治理与...
浅析农业技术推广现状
摘要:目前,我国的主要农业技术推广模式是以政府为主导地位的较为单一的推广模式,在当前错综复杂的国际经济促使下,农业技术作为农业生产的主体,我国现行的推广形式致使农业生产的推广目标和市场经济的实际需求出现较大差距,因此,应不断发展多样性农业技...
农村水利机电排灌设施运行管理中存在的问题及应对措施探讨
摘要:我国的农业发展非常重要,为进一步促进我国农业发展,将农业产业牢牢抓在自己手中,就要保证农业生产,提供生产必要资源。水资源是所有农作物的必需品,为实现合理利用,通过利用水利设施,完成农业生产灌溉任务,提高灌溉效率,确保正常生产。基于此,...
农产品质量检验检测现状及优化的措施
摘要:随着社会的发展与时代的进步,我国对于农产品的质量也有了更高的要求,农产品的质量本身对我国的经济发展与人民的健康具有重要意义,因此农产品质量检测现状及优化措施已成为学界热点话题。基于此,本文简析了农产品质量检测现状,并深入探讨农产品质量...
生态林业建设背景下林业技术推广的对策
摘要:生态林业建设是我国林业事业的一项重大战略任务,推广现代林业技术是生态林业建设的重要内容。本文从当前我国生态林业建设面临的挑战和林业技术推广存在的问题入手,提出了加强林业技术推广的对策,包括政府和企业加大投入、完善推广机制、提高推广人员...
退化林形成原因分析与修复策略
摘要:随着社会的不断发展,人们的环保意识也随之增强。森林既可以吸收大量二氧化碳,也可以防治风沙、减轻洪灾,其对环保的意义是不容置疑的。因为种种原因,我国部分地区有一些退化林,如何将这些退化林进行修复,是相关部门亟待解决的问题,本文将基于此,...
高寒草原天然牧草返青期变化特征与气象因子关系的研究
摘要:目的:分析高寒草原天然牧草返青期变化特征与气象因子关系,为青海地区生态保护工作的开展提供一定的指导。方法:以2001~2022年青海地区玉树藏族自治州高寒草原天然牧草返青期气象资料为研究对象,应用线性分析方式、相关性分析以及回归分析等...
小型农田水利工程可持续运行管理策略的探讨
摘要:在国家持续发展道路上,水利工程属于国家基础建设,对经济发展有着重要的推动意义。现如今,随着对小型农田水利工程可持续运行管理工作的重视,对水利工程行业的建设和发展提出更高的要求,特别是在小型农田水利工程建设环节中。在实际建设期间,要结合...

农民培训

雄安新区职业农民培训现状及其反思
摘要:随着时代的不断发展,经济同时飞速发展,经济和科技的进步要求我国各类职业向高端转型升级,职业农民也闻声而出。本文在乡村振兴和产业升级的背景下,根据雄安新区的农民新型发展模式,分析现状,提出相关培训模式,并且具体应用于实际,并根据雄安新区...

试验研究

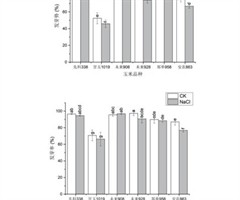
NaCl胁迫对皖北地区主要玉米品种种子萌发特性的影响
摘要:以皖北地区主要玉米品种(未来908、未来928、安农863、甘玉1019、郑单958和先科338)为供试材料,采用蒸馏水(CK)和100mmol/L NaCl处理玉米种子并进行发芽试验,分析NaCl胁迫对不同基因型玉米种子萌发特性的影...

农技推广

设施果树栽培技术在现代林果种植业中的探究
摘要:本文以设施果树栽培技术在现代林果种植业中的探究为主题,从设施栽培技术的发展历程、设施栽培技术的特点、设施果树栽培技术的应用等方面进行探讨。结论表明,设施果树栽培技术能够有效提高果树的产量和品质,缩短生长期,降低病虫害发生率,同时也具有...

园林园艺

蔬菜标准园生态化栽培技术
摘要:在遵义市红花岗区的蔬菜(辣椒)标准园生态化栽培技术层面,通过制定和完善辣椒标准化生产技术操作规程,在栽培技术和管理下功夫,通过选址、育苗、水肥、病虫害等要点加以把握,对提高蔬菜种植的水肥利用效率,实现化肥农药使用负增长,实现蔬菜标准园...
北方地区宿根花卉栽培管理技术研究
摘要:随着人们对生态环境和绿化景观的重视,园林绿化和景观设计行业在北方地区得到了快速发展。宿根花卉作为一种生命力强、观赏价值高的植物材料,在北方地区的园林绿化和景观设计中具有广泛的应用前景。然而,由于北方地区特殊的气候和土壤条件,宿根花卉的...
人工造林技术及措施
摘要:森林是我国社会经济前行和持续发展过程中必不可缺的重要基础资源,而人造林在发展的过程中其价值不仅体现在生态环保方面的价值,更是在经济发展、社会建设等多个方面扮演着不可取代的重要角色。近年来,随着我国城市化的发展速度不断加快,在工业化建设...
保定市行道树国槐健康状况及综合复壮技术
摘要:保定市北二环全路段行道树以国槐为主,目前行道树国槐出现了生长势弱、侧枝枯秃甚至全冠枯死等现象,对城市的绿化造成了不良影响。为此开展本项调查,对调查区域内行道树国槐的株高、胸径、冠幅、枯枝率以及截干情况等进行了详细的调查。通过对调查数据...
现代林业造林绿化中的关键技术要点和管护措施
摘要:目前国家大力发展生态文明建设,林业造林绿化也是国家生态文明建设中的重要部分,绿化林地建设不仅能够提升地区的绿化率,还是国家的重要林业资源储备。但是国家现阶段的林业培育技术存在一些问题,培育过程并不规范,本文从陕西吴起县的林业现状开始分...
现代林业育苗技术的重点与造林技术探究
摘要:我国拥有广阔的森林资源,是世界上森林面积最大的国家之一。据统计,2021年我国森林面积2.31亿hm2,森林覆盖率24.02%,森林蓄积量 194.93亿m3,虽然我国拥有庞大的林业资源,但在过去的几十年里,我国森林数量和质量面临乱砍...

农机管理

水稻种植和收获机械化的发展策略
摘要:随着现代化和工业化的进程加快,农业生产面临严峻的挑战。如何提高水稻种植和收获的效率和质量已经成为全球各国政府和农业专家所关注的问题。本文探讨了水稻种植和收获机械化的发展策略。研究发现,政府支持、科技创新、技术培训、资金投入、宣传推广等...
大豆玉米带状复合种植全程机械化关键技术与装备
摘要:随着社会的发展与时代的进步,我国对于农业经济的关注程度也进一步提高,而我国对于大豆与玉米等农作物的总量要求相对较高,因此为顺应时代发展,如何在大豆玉米带状复合种植的过程中,运用机械化技术已成为学界热点话题。基于此,本文简单分析带状复合...

水产渔业

早春鱼瘟的发病原因及防治技术
摘要:近年来,养殖水体淡水鱼类疾病发生频繁,疾病传播范围之广,发病率和死亡率之高,都达到并超过了国内历史同期水平。养殖鱼体由于越冬期间免疫能力下降,在水体环境中更容易感染霉菌、细菌、病毒或寄生虫等致病因子,持续一段时间后,疾病突破潜伏期大规...

畜牧兽医

犊牛泻痢应用中兽医治疗的效果研究
摘要:泻痢是犊牛饲养中很是普遍的疾病类型,也是引发犊牛死亡的一大因素,导致这一疾病的病因多元,因而其预防和治疗一直是养殖难点所在,本文主要以云南地区犊牛养殖为例,就犊牛泻痢应用中兽医治疗的效果展开概述。 关键词:犊牛;泻痢;中兽医;效果 0...
牛结节性皮肤病流行及防控措施
摘要:牛结节性皮肤病是一种牛全身性感染疫病,致病病原是痘病毒科山羊痘病毒属牛结节性皮肤病病毒,该病的流行对牛的饲养造成极大的影响,在此对牛结节性皮肤病的流行现状,病原特征,临床症状和防控措施进行分析和介绍,为养殖户做好牛结节性皮肤病提供指导...
浅谈蛋鸡传染性支气管炎控制技术
摘要:传染性支气管炎是制约蛋鸡产业发展的重要疫病之一。近年来,该病的发生呈逐渐升高趋势,给蛋鸡养殖者带来较大的经济损失。本文主要从消毒管理、饲养管理、饲料管理、病鸡管理、免疫管理和防疫管理六个方面着手,全方位开展蛋鸡的传染性支气管炎控制,为...
非洲猪瘟生猪养殖场生物安全管控技术交流
摘要:非洲猪瘟是当前危害养猪生产的主要传染病。由于非洲猪瘟病毒本身的特性和特点,目前,无法通过接种疫苗消灭易感动物的方式控制该病的发生和流行。对此,本人立足本地区生猪养殖场的安全现状,借鉴、总结、收集本区域内非洲猪瘟发生的案例,撰写了“生猪...
猪铜中毒的诊断与防治
摘要:铜(Cu)是猪体内的微量元素,也因其促生长功能被广泛用作饲料添加剂,然而铜的添加用量需要根据猪不同生长发育阶段进行评估,过量添加容易引发猪铜中毒病的发生。本文从猪铜中毒的临床症状,中毒机制,诊断和预防治疗等方面系统地阐述了猪铜中毒的综...
农村畜牧养殖管理存在问题与解决办法
摘要:畜牧养殖产业发展是促进农业增效、农民增收的重要途径之一。随着经济社会的发展和市场的需求,现阶段我国畜牧养殖产业呈现规模化、集约化、专业化,增加了许多养殖小区,但是在发展的过程中也暴露出来更多的问题,在一定程度上阻碍了畜牧养殖产业以及农...
兽医法规课程思政建设探索
摘要:为落实立德树人的根本任务,全面提升人才培养质量,培养高素质创新型动物医学专业人才,动物医学专业在课程教学中开展了“课程思政”的改革与探索。兽医法规课程是动物医学专业核心课程,是兽医类专业学生必修的一门专业基础课。本文从兽医法规课程教学...
牦牛巴氏杆菌病的诊断与防治
摘要:本论文以牦牛巴氏杆菌病的诊断与防治为研究对象,系统分析了病原体特征、传播途径、临床症状、病理学表现、诊断方法、防治措施等方面,并结合当地情况进行了结合分析,旨在为该疾病的防治提供科学有效的参考,促进人畜健康安全保障。 关键词:牦牛巴氏...
加强西藏牦牛疫病防治工作
摘要:西藏地区因其独特的地理条件,近年来,我国牦牛养殖业频频发生口蹄疫、布氏杆菌和牛痘等感染性疾病,给牧民和牧民带来重大经济损失,给牧民的生活和生活带来极大的危险。为了进一步加强西藏地区动物疫情的控制,作者在此基础上,就如何加强动物疫情的控...
兽医专业中猪相关的重要内容分析
摘要:兽医专业中的猪是一个重要的研究对象。作为兽医师,他们需要具备对猪健康管理和疾病防控的专业知识和技能。本文将重点介绍兽医师在猪的健康管理、疾病诊断与治疗、饲养管理和环境卫生等方面的职责,并强调持续学习和研究的重要性。 关键词:兽医专业;...
相关杂志
  • 农家书屋

    农家书屋

    2025年11期
    ¥20.00
  • 新农业

    新农业

    2025年09期
    ¥3.69
  • 农村百事通

    农村百事通

    2025年12期
    ¥6.00
  • 中国瓜菜

    中国瓜菜

    2025年11期
    ¥3.00
  • 农村·农业·农民

    农村·农业·农民

    2025年11期
    ¥6.00
  • 农民科技培训

    农民科技培训

    2025年12期
    ¥4.29
  • 农民致富之友

    农民致富之友

    2025年33期
    ¥12.00
  • 新农民

    新农民

    2025年33期
    ¥6.00
  • 西北园艺·果树

    西北园艺·果树

    2025年06期
    ¥3.69
  • 湖南农业科学

    湖南农业科学

    2025年11期
    ¥4.89
  • 农产品市场

    农产品市场

    2025年22期
    ¥6.00
  • 安徽农业科学

    安徽农业科学

    2025年23期
    ¥18.00
订阅全年后,您可享受以下权益
①该本杂志即日起至未来1年内所有更新电子版杂志的使用权限;
②赠送该杂志的部分往期的杂志的使用权限,有效期1年。

全年订购价格: ¥72.00

订阅全年
--%>

登录龙源期刊网

温馨提示:

1.点击网站右上角的“充值”按钮可以为您的账号充值

2.充值金额可以选择30,50,100或500元

3.充值成功后即可购买网站上的任意杂志或文章

还没有龙源账户? 立即注册

购买杂志

新农民

杂志价格:¥6.00元

  • 微信扫码支付
  • 当前余额:100.00

购买杂志

新农民

杂志价格:¥6.00元

  • 微信扫码支付
  • 当前余额:¥100.00

    去充值
monitor
客服机器人