现代纺织技术

现代纺织技术

2025年10期
  • 收藏
收藏成功
微博 空间 微信
本刊是国家纺织工业局主管,浙江工程学院、浙江省纺织工程学会联合主办的全国性科技期刊。以现代纺织科技为重点,报道理论研究、...     展开

类型

月刊

类别

学术
定价
促销信息
全年订阅更优惠!
¥8.00 ¥4.89
目录

纺织前沿

导电细菌纤维素的制备方法及应用研究进展
摘要:导电细菌纤维素集导电性、生物可降解和高比表面积等优点于一身,在能量收集、传感检测等领域应用前景广阔,其制备与应用研究对推动环境友好型细菌纤维素新材料产业发展意义重大。文章综述了导电细菌纤维素的各类制备方法及其近年来国内外的应用研究进展...
柔性同轴线缆及其纺织化研究进展
摘要:在物联网驱动的可穿戴智能纺织品中,同轴线缆作为核心信号传输部件展现出了广阔应用前景。为提高同轴线缆的综合性能,首先系统阐述了同轴线缆的结构组成,其次重点分析了柔性同轴线缆屏蔽层与护套的纺织制备技术发展现状及适用材料,最后全面剖析了同轴...
纳米纤维包覆纱在柔性传感器领域的研究与应用进展
摘要:纳米纤维包覆纱(NCY)是一种通过核壳结构设计实现功能集成的先进纱线材料。基于包覆纺纱工艺制备的NCY有机结合了纳米材料的高比表面积优势与传统纱线的力学柔韧性,其独特的结构特性使其在柔性传感器领域展现出卓越的性能,现已成为智能纺织品与...

纤维材料

聚N-异丙基丙烯酰胺微凝胶的无皂乳液聚合与性能
摘要:针对传统有皂乳液聚合制备聚N-异丙基丙烯酰胺(PNIPAM)微凝胶过程中表面活性剂残留问题,采用无皂乳液聚合法制备PNIPAM微凝胶,并研究交联剂 N,N′ -亚甲基双丙烯酰胺(BIS)对PNIPAM微凝胶的微观结构、溶胀性能、温度响...
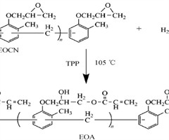
丙烯酸改性邻甲酚醛环氧树脂的制备 及深层光固化行为
摘要:针对丙烯酸树脂在紫外光固化过程中存在的深层固化程度不足、热机械性能欠佳及附着力较差等问题,以邻甲酚醛环氧树脂和丙烯酸为原料,通过开环反应成功合成了一种新型光敏性邻甲酚醛环氧丙烯酸树脂(EOA)。以EOA作为主体树脂,系统研究了I型引发...

染整工程

锑离子检测荧光探针的设计及应用
摘要:为了简便高效检测重金属离子Sb(III),以芘为生色团、以2-氨基 4- 甲氧基苯酚为功能基团制备了荧光探针 Py-ph-OCH3 ,测试了 Py-ph-OCH3 的稳定性,探究了 Py-ph-OCH3 在二甲基亚砜 (DMSO)/H...
SiO2 -TiO,/PU复合涂层的制备及其抗紫外线性能
摘要:聚氨基甲酸酯(PU)涂层应用广泛,但其抗紫外性能不足。通过水热法和溶胶凝胶法分别制备了二氧化硅( SiO2 )和二氧化钛( TiO2 )纳米颗粒,然后将这2种纳米颗粒与PU溶液共混,制备了 SiO2–TiO2/PU 复合涂层,并对比分...
光子晶体涂料体系的直接法构建及其性能
摘要:为了制备兼具高结构稳定性和高颜色饱和度的光子晶体结构色涂层,采用半间歇式乳液聚合法制备PS@P(MMA-BA)胶体纳米微球,通过旋转蒸发浓缩及复配相关助剂构建光子晶体涂料体系,通过刮涂/喷涂和阶梯式加热组装处理,制备光子晶体结构生色涂...

数智时尚

基于扩散模型的多阶段一致可控虚拟试衣
摘要:为解决现有扩散模型在虚拟试衣任务中难以保持服装纹理和色彩一致性的问题,提出了一种新的多阶段虚拟试衣方法。该方法包括两个阶段:在第一阶段,设计了一个基于多尺度特征注意力模块的服装形变网络,以抑制参考服装在形变过程中出现的纹理不自然现象,...
基于计算流体力学的冲锋衣通风开口设计对衣内微气候影响的模拟
摘要:为了可视化了解冲锋衣通风开口设计对衣内温度与气流分布的影响,基于计算流体力学方法,构建标准仿真用的人体及冲锋衣三维数值模型,模拟分析结果并对比实验数据偏差验证模拟方法的准确性,分析各部位通风开口设计对衣内空气层气流流场与人体皮肤热分布...

纺织品智能可穿戴及应用

高弹性导电纱线的制备及其可穿戴应用
摘要:随着智能纺织品及医疗可穿戴技术的快速发展,对兼具高弹性形变能力和稳定力电性能的纤维电子材料需求日益迫切。设计并制备了一种基于棉/氨纶包芯纱为基底,通过层层自组装二维MXene纳米片构建的高弹性导电纱线。通过系统的力学性能、电学性能及热...
柔性纺织传输线的制备和性能评价
摘要:柔性纺织传输线(简称纺织传输线)作为电子纺织品系统中的关键组件,其重要性日益凸显。然而,目前针对纺织传输线的成形工艺及性能评价体系尚缺乏系统性的总结与归纳。首先基于信号传输类型和结构特征对纺织传输线进行了科学分类,系统梳理了其技术体系...
MXene基羊绒织物压力传感器的构筑及性能
摘要:为获得基于羊绒针织物的柔性压力传感器,选用MXene作为导电活性材料,以羊绒针织物为基底,采用浸渍-干燥工艺制备了织物基压力传感器。设计不同浸渍次数的压力传感器,探究浸渍次数对灵敏度的影响,并对传感器进行形貌观察和传感性能测试分析。结...
三维间隔织物摩擦纳米发电机研究进展
摘要:近年来,柔性电子技术与智能可穿戴设备的快速发展对可持续能源供给提出了更高要求。作为新型能量收集器件,三维间隔织物摩擦纳米发电机(3D-SF-TENG)凭借其特殊结构、高回弹及透气性等特性,成为可穿戴供能领域的研究热点。介绍了3D-SF...
针对自闭症儿童的智能可穿戴服饰产品研究进展
摘要:自闭症儿童在生活中面临多重障碍,为改善其困境,总结并分析针对自闭症儿童的智能可穿戴服饰产品的研究现状、关键问题与发展趋势。以自闭症儿童的穿戴需求为出发点,从情绪舒缓、行为管理、社交改善3方面梳理并分析了关于自闭症儿童可穿戴服饰产品的国...
相关杂志
  • 中国商论

    中国商论

    2026年01期
    ¥17.49
  • 中外建筑

    中外建筑

    2025年12期
    ¥9.90
  • 河南科技

    河南科技

    2025年24期
    ¥6.00
  • 海洋开发与管理

    海洋开发与管理

    2025年09期
    ¥21.69
  • 计算机应用文摘

    计算机应用文摘

    2026年02期
    ¥9.00
  • 社会科学研究

    社会科学研究

    2026年01期
    ¥9.00
  • 现代信息科技

    现代信息科技

    2026年02期
    ¥18.00
  • 湖南大学学报(社会科学版)

    湖南大学学报(社会科学版)

    2025年06期
    ¥12.00
  • 民主与科学

    民主与科学

    2025年06期
    ¥3.39
  • 中国调味品

    中国调味品

    2026年01期
    ¥0.00
  • 计算技术与自动化

    计算技术与自动化

    2025年04期
    ¥10.89
  • 湖北经济学院学报

    湖北经济学院学报

    2026年01期
    ¥6.00
订阅全年后,您可享受以下权益
①该本杂志即日起至未来1年内所有更新电子版杂志的使用权限;
②赠送该杂志的部分往期的杂志的使用权限,有效期1年。

全年订购价格: ¥29.34

订阅全年
--%>

登录龙源期刊网

温馨提示:

1.点击网站右上角的“充值”按钮可以为您的账号充值

2.充值金额可以选择30,50,100或500元

3.充值成功后即可购买网站上的任意杂志或文章

还没有龙源账户? 立即注册

购买杂志

现代纺织技术

杂志价格:¥4.89元

  • 微信扫码支付
  • 当前余额:100.00

购买杂志

现代纺织技术

杂志价格:¥4.89元

  • 微信扫码支付
  • 当前余额:¥100.00

    去充值
monitor
客服机器人