科技进步与对策

科技进步与对策

2025年18期
  • 收藏
收藏成功
微博 空间 微信
《科技进步与对策》创刊于1984年,由中国管理科学学会、湖北省科技厅主管,湖北省科技信息研究院主办,科学出版社出版,是关...     展开

类型

半月刊

类别

定价
促销信息
全年订阅更优惠!
¥25.00 免费
目录

人工智能与创新专栏

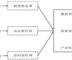
人工智能创新应用先导区设立对产业链韧性提升的影响
摘要:提升产业链韧性是经济高质量发展、建设现代化产业体系的内在要求。借助国家人工智能创新应用先导区设立这一准自然实验,选取2010—2023年287个地级市面板数据,采用双重机器学习(DML)方法系统评估该政策对产业链韧性的影响及作用机制。...
AI背景下技术冲击意识对制造工人工匠精神的影响机制研究
摘要:人工智能技术深度融入背景下,技术变革对传统工匠精神的传承与创新带来深刻影响。基于调节焦点理论,构建一个有调节的中介模型,探讨技术冲击意识对制造工人工匠精神的影响机制,分析促进型、防御型调节焦点的机制作用以及数字领导力的调节效应。通过对...
AI技术采纳、智力资本与制造企业绿色创新
摘要:人工智能和ESG治理已经成为驱动制造企业绿色创新与转型发展的重要动力。从可供性和非正式环境规制双重视角出发,构建三维交互模型,利用2011—2022年中国A股上市制造企业面板数据,揭示AI技术采纳、智力资本、ESG评级与制造企业绿色创...

创新创业理论

内部创新与融通创新互补平衡效应对创新绩效的影响
摘要:基于组织二元性理论,探究企业内部创新与融通创新互补平衡效应对创新绩效的影响,基于内外部视角探讨企业规模和行业竞争程度的调节作用,采用2010—2022年沪深A股企业数据,实证研究发现:① 内部创新与融通创新的互补性对创新绩效具有正向影...
数字生态下创业质量多元驱动机制研究
摘要:如何通过优化数字生态环境提升区域创业质量是亟待解决的重要管理问题。基于WSR方法论,采用动态QCA方法,以2019—2022年中国内地31个省份为调研对象,探讨时间轴上物理、事理和人理3个层面8个因素对区域创业质量的组态效应。研究发现...

区域创新驱动

数字经济与区域创新效率的“索洛悖论”
摘要:结合数字技术应用的“索洛悼论"现象以及中国区域创新低效困境,利用中国经验数据实证分析数字经济对区域创新效率的影响。研究发现,数字经济与中国区域创新效率总体上存在显著U型关系。分维度异质性检验表明,数字产业化及其对研发效率的非...
区域数字化环境对制造业颠覆性与渐进性创新的影响
摘要:随着科技发展和产业革命的加速演进,技术创新的重要性日益凸显。基于数字可供性理论,以2013—2022年中国A股制造业上市企业为研究样本,运用跨层次混合效应模型,探讨区域数字化环境对企业创新战略的影响。研究结果表明:区域数字化程度提高对...
中国省域创新绩效提升的多元路径选择
摘要:将 fsQCA方法应用于省域创新绩效提升研究,以我国内地31个省份为案例样本,探索技术、组织、环境维度下6个关键前因条件对创新绩效的多重并发和联动效应。研究发现: ① 单一条件无法构成高或非高创新绩效的必要条件,但政府财政支持在高创新...

企业科技创新

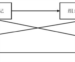
组织印记对科研院所转制企业全要素生产率的影响:激励还是抑制?
摘要:基于组织印记视角,对企业全要素生产率(TFP)影响因素进行探究。以2000—2021年中国沪深A股上市公司为研究样本,探讨组织印记与企业全要素生产率的关系。结果表明,具有科研院所背景的组织印记对全要素生产率和董事网络结构洞具有显著正向...
组态视角下企业责任式创新路径研究
摘要:责任式创新能够平衡企业利润增长与社会价值实现,对企业提升抗风险能力和实现可持续发展具有重要影响。然而,如何驱动企业实施责任式创新,现有文献尚未明确。基于TOE理论框架,采用319 份高技术制造企业数据,借助模糊集定性比较分析方法(fs...
组织韧性对新能源汽车企业商业生态优势的影响
摘要:具备商业生态优势是新能源汽车企业在智能化竞争中胜出的关键,跳出原有经验和能力陷阱实现自我革命,是新能源汽车企业构筑商业生态优势的重要路径。基于动态能力理论,以386家新能源汽车企业为研究对象,采用层次回归分析和 Bootstrap方法...

科技政策与管理

专精特新政策如何驱动企业创新绩效提升
摘要:专精特新政策是引导中小企业高质量发展的重要工具,选取2013—2023年我国沪深A股上市的541家专精特新“小巨人”企业为研究样本,探究专精特新政策不同维度对企业创新绩效的影响,并揭示专精特新战略的中介作用。在此基础上,进一步针对地区...
绿色创新链视角下双重环境政策对碳回弹的影响研究
摘要:健全生态环境治理体系,协调运用命令控制型与市场激励型政策,对实现“双碳”目标具有重要意义。基于2010—2022年中国282个城市平衡面板数据,从绿色创新链视角,利用双重差分和三重差分模型考察命令控制型强约束的环保费改税政策和作为市场...

知识科学与工程

元宇宙赋能的具身化隐性知识管理:资源、传播与创新
摘要:智能技术正在改变组织管理方式,利用元宇宙可以赋能隐性知识管理,并为组织发掘知识体系潜能提供新思路。立足于当前元宇宙的技术基础、应用现状,提出隐性知识景观概念,从知识资源建设、知识传播、知识创新等方面分析元宇宙赋能下的隐性知识管理。从隐...
复杂系统视域下计算知识管理系统韧性治理框架
摘要:立足复杂系统视域,构建计算知识管理系统韧性治理框架,为计算知识管理系统韧性发挥与治理提供实践参考和学理借鉴。计算知识管理系统韧性涵盖数据韧性、信息韧性和知识韧性,从时间、空间、内容、强度4个维度分析计算知识管理系统韧性,构建计算知识管...
相关杂志

登录龙源期刊网

温馨提示:

1.点击网站右上角的“充值”按钮可以为您的账号充值

2.充值金额可以选择30,50,100或500元

3.充值成功后即可购买网站上的任意杂志或文章

还没有龙源账户? 立即注册

购买杂志

科技进步与对策

杂志价格:¥0.00元

  • 微信扫码支付
  • 当前余额:100.00

购买杂志

科技进步与对策

杂志价格:¥0.00元

  • 微信扫码支付
  • 当前余额:¥100.00

    去充值
monitor
客服机器人