河北科技大学学报

河北科技大学学报

2023年04期
  • 收藏
收藏成功
微博 空间 微信
《河北科技大学学报》(JournalofHebeiUniversityofScienceandTechnology)是由...     展开

类型

双月刊

类别

学术
定价
促销信息
全年订阅更优惠!
¥20.00 ¥12.00
目录

机械、电子与信息科学

基于SSA VMD LSTM NKDE的短期风电功率概率预测
摘 要: 为进一步提高风电功率预测精度,提出一种基于麻雀搜索算法(SSA)优化VMD参数的组合预测方法。首先,使用麻雀搜索算法对VMD参数进行优化,并利用优化后的VMD对数据进行分解;其次,结合灰色关联分析法和熵权法对环境变量进行相关性分析...
SLM成形多层多道金属薄壁件温度场有限元模拟
摘 要: 针对高强铝合金A17075选区激光熔化(selective laser melting,SLM)过程中未知的熔池变化规律和层间作用影响产品成形效率和精度的问题,研究不同工艺参数(激光功率和扫描速度)对各成形层熔池形态和温度场的影响...
基于改进DCGAN轮胎缺陷图像生成方法
摘 要: 针对深度卷积生成对抗网络的数据扩充方法存在生成图像质量差、模型框架不稳定、模型收敛速度慢等问题,提出一种改进DCGAN轮胎缺陷图像生成模型。将残差网络和注意力机制嵌入到DCGAN模型中,提升模型特征的提取能力;同时摒弃DCGAN损...
一种改进樽海鞘群算法优化K Means的小麦覆盖度提取方法
摘 要: 针对K Means算法对初始聚类中心的依赖性较高,容易出现局部最优停滞的问题,提出一种改进樽海鞘群算法优化 K Means 的小麦覆盖度提取算法。首先,将小麦图像转换到HSV色彩空间;然后,用改进樽海鞘群算法进行全局寻优,以获得全...

数学

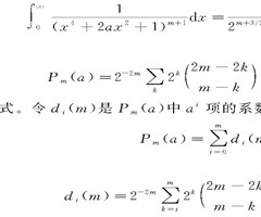
Boros-Moll多项式序列递推关系的代数证明
摘 要:为了拓展Boros Moll多项式序列递推关系的基本理论,研究了Boros Moll多项式序列递推关系新的证明方法。首先,对Boros Moll多项式序列满足的递推关系进行适当变形、分拆;其次,将满足的递推关系式构造为3个部分和的差...

化学与化工专栏

CY-700型填料塔中乙醇胺水溶液捕集CO2性能研究
摘 要:为了提高填料塔的传质性能,对比研究新型CO2吸收剂,在CY 700型不锈钢规整填料中试吸收和解吸塔内,研究了不同操作条件下乙醇胺(MEA)水溶液吸收CO2的总体积传质系数KGav和捕集率,并对连续捕集CO2工艺的再生能耗进行了分析。...

材料科学

FSP制备TiO2铝基复合材料的组织与性能研究
摘 要:为了解决铝基复合材料强韧性的问题,采用搅拌摩擦加工(friction stir processing, FSP)的方法制备TiO2铝基复合材料。分别采用显微组织观察试验、拉伸试验和显微硬度试验等方法,对复合材料的强化机理、显微组织以...

土木建筑工程

基于离散元模型的岩石Ⅱ型断裂研究
摘 要:为了解决岩石Ⅱ型断裂韧度的准确测量问题,提高对工程裂隙岩体稳定评价的可靠性,采用颗粒离散单元法,从微观裂纹、声发射及块体特征角度出发,结合断裂韧度计算,对短芯压缩(SCC)试样进行了数值研究。结果表明:随着切槽间距比(C/H)的增加...
循环荷载作用下NaCl溶液对黏土动力特性影响及微观机理分析
摘 要:针对黏土易与水结合,孔隙溶液环境变化对黏土动力特性有较大影响的问题,使用GDS真/动三轴仪对黏土试样进行模拟交通循环荷载下的分级加载试验,研究不同浓度NaCl孔隙溶液、振动频率对土体应力 应变关系和动弹性模量的影响,分析骨干曲线及弹...

管理科学与工程

基于多态模糊贝叶斯网络的城市燃气管道事故风险预测与诊断研究
摘 要:为了评估城市燃气管道系统的风险程度,给后续预防工作提供参考,提出了基于多态模糊贝叶斯网络的燃气管道事故风险定量分析方法。首先,基于对86份事故调查报告风险因素的梳理,建立故障树模型,寻求风险隐患和事故之间的映射,并将其转换为贝叶斯网...

新能源与节能环保专栏

基于STIRPAT模型的京津冀“碳达峰”预测研究
摘 要:为了解决京津冀地区碳排放量达峰问题,以河北省为例,研究京津冀碳排放达峰实现路径,对京津冀未来的碳排放量进行预测分析,建立以河北省2004—2021年碳排放相关数据为基础的STIRPAT碳排放预测拓展模型。设置了6个情景,通过综合考虑...
相关杂志
  • 中国商论

    中国商论

    2025年23期
    ¥17.49
  • 中外建筑

    中外建筑

    2025年10期
    ¥9.90
  • 河南科技

    河南科技

    2025年22期
    ¥6.00
  • 海洋开发与管理

    海洋开发与管理

    2025年07期
    ¥21.69
  • 计算机应用文摘

    计算机应用文摘

    2025年24期
    ¥9.00
  • 社会科学研究

    社会科学研究

    2025年06期
    ¥9.00
  • 现代信息科技

    现代信息科技

    2025年22期
    ¥18.00
  • 湖南大学学报(社会科学版)

    湖南大学学报(社会科学版)

    2025年06期
    ¥12.00
  • 计算技术与自动化

    计算技术与自动化

    2025年04期
    ¥10.89
  • 中国调味品

    中国调味品

    2025年12期
    ¥0.00
  • 民主与科学

    民主与科学

    2025年05期
    ¥3.39
  • 中国民族民间医药·下半月

    中国民族民间医药·下半月

    2025年11期
    ¥9.69
订阅全年后,您可享受以下权益
①该本杂志即日起至未来1年内所有更新电子版杂志的使用权限;
②赠送该杂志的部分往期的杂志的使用权限,有效期1年。

全年订购价格: ¥72.00

订阅全年
--%>

登录龙源期刊网

温馨提示:

1.点击网站右上角的“充值”按钮可以为您的账号充值

2.充值金额可以选择30,50,100或500元

3.充值成功后即可购买网站上的任意杂志或文章

还没有龙源账户? 立即注册

购买杂志

河北科技大学学报

杂志价格:¥12.00元

  • 微信扫码支付
  • 当前余额:100.00

购买杂志

河北科技大学学报

杂志价格:¥12.00元

  • 微信扫码支付
  • 当前余额:¥100.00

    去充值
monitor
客服机器人