注册帐号丨忘记密码?
1.点击网站首页右上角的“充值”按钮可以为您的帐号充值
2.可选择不同档位的充值金额,充值后按篇按本计费
3.充值成功后即可购买网站上的任意文章或杂志的电子版
4.购买后文章、杂志可在个人中心的订阅/零买找到
5.登陆后可阅读免费专区的精彩内容
打开文本图片集
摘 要:
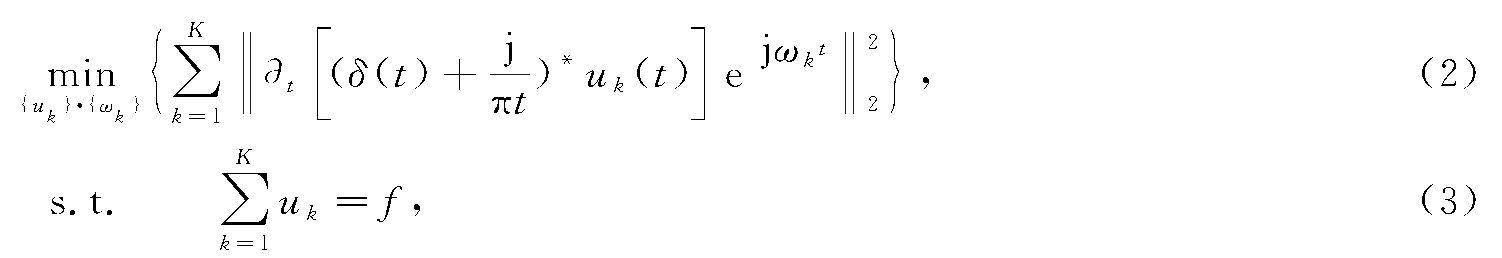
为进一步提高风电功率预测精度,提出一种基于麻雀搜索算法(SSA)优化VMD参数的组合预测方法。首先,使用麻雀搜索算法对VMD参数进行优化,并利用优化后的VMD对数据进行分解;其次,结合灰色关联分析法和熵权法对环境变量进行相关性分析,选择相关性最高的影响因素与分解得到的各模态分量组合作为LSTM预测模型的输入,获得更为精确的预测结果;最后,建立基于非参数核密度估计(NKDE)的风电功率概率预测模型,实现对风电功率预测结果不确定性的有效量化。(剩余17608字)
登录龙源期刊网
购买文章
基于SSA VMD LSTM NKDE的短期风电功率概率预测
文章价格:6.00元
当前余额:100.00
阅读
您目前是文章会员,阅读数共:0篇
剩余阅读数:0篇
阅读有效期:0001-1-1 0:00:00