基于鲁棒模型预测的电子机械制动系统夹紧力控制

打开文本图片集
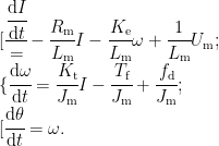
",
中图分类号:U463.5 文献标识码:A
DOI:10.3969/j.issn.1674-8484.2025.06.002
Robust model prediction based clamping force control for electro-mechanical braking systems
ZHANG Rongyu, ZHAO Xuan,WANG Shu*,LI Meiying (SchoolofAutomobile,Chang'anUniversity,Xi'anShanxi71oo64,China)
Abstract:Arobust model predictivecontrol (RMPC) strategy based onanactive disturbance rejection extend state observer (ESO)was proposed to improve the robustnessand tracking accuracy of clamping force control inanelectro-mechanical brake(EMB)system.Firstly,electricaldisturbances,mechanical disturbances,and environmental disturbances inherentinthe EMBsystem wereanalyzed,andamathematical modelincorporating alumped disturbance term was established.Secondly,an EMBclamping force control strategy based onRMPC was formulated,introducinganactivedisturbancerejectionESOtoestimateand compensate fordisturbances. Finaly,ahardware-in-the-loop(HIL)experimentalplatformwasdevelopedtovalidate theproposed method.The resultsshow that theEMBclamping force controlledsolely byMPC exhibits significantfluctuationunder load disturbance,with a maximum error of 228N and a maximum error rate of 5.7% :In contrast,the clamping force under thecombined RMPC with ESOaction shows a maximum steady-statetracking eror of only38N,with a maximumerrorrateof 1.52% ,indicating that the proposed control strategy effectivelysuppressesdisturbance effects,which canachieve high clamping force tracking precisionand strong anti-disturbance capability.
Keywords:electro-mechanical brake (EMB)system;clamping forcecontrol strategy;robust modelpredictive control (RMPC);active disturbance rejection extend state observer (ESO); hardware-in-the-loop (HIL) experiment
电子机械制动(electro-mechanicalbrake,EMB)因其结构简单、控制精确、响应速度快等优点,成为未来制动系统的发展方向。(剩余20785字)