注册帐号丨忘记密码?
1.点击网站首页右上角的“充值”按钮可以为您的帐号充值
2.可选择不同档位的充值金额,充值后按篇按本计费
3.充值成功后即可购买网站上的任意文章或杂志的电子版
4.购买后文章、杂志可在个人中心的订阅/零买找到
5.登陆后可阅读免费专区的精彩内容
打开文本图片集
中图分类号:TN918.4-34 文献标识码:A 文章编号:1004-373X(2025)23-0111-07
0 引言
随着民用飞机的快速发展,近年来,作为民航产业链一部分的民航数据链通信也得到了发展,数据在空地数据链进行传输过程中,其位置、燃油量等敏感信息容易被窃取,安全风险较高2。因此,民航数据链也具有数据安全的需求。(剩余9771字)
登录龙源期刊网
购买文章
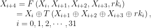
基于改进SM4和Elgamal的民航数据链混合加密算法研究
文章价格:5.00元
当前余额:100.00
阅读
您目前是文章会员,阅读数共:0篇
剩余阅读数:0篇
阅读有效期:0001-1-1 0:00:00