基于NCF的台阵聚束方法分析噪声源的时空分布

打开文本图片集
中图分类号:P315.3 文献标识码:A 文章编号:1000-0666(2025)03-413-09
doi:10.20015/j.cnki.ISSN1000-0666.2025.0043
0 引言
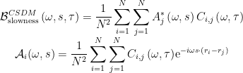
通过地震台站的连续记录计算台站间的噪声互相关函数(NoiseCross-correlationFunction,NCF),并提取频散曲线进行速度结构成像是开展地壳速度结构研究的重要方法(Shapiro,2005;Nishidaetal,2009)。(剩余15232字)