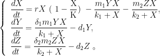
一类捕食者-食饵三种群模型的稳定性和Hopf分支

打开文本图片集
中图分类号:0175 文献标志码:A 文章编号:1009-5128(2025)08-0069-09
基金项目:国家自然科学基金地区项目:基于时变时滞的复杂生态-传染病模型的动力学研究(12161054)
0 引言
为了研究生物多样性和生态系统中物种间的相互作用,19世纪20年代,Lotka和Voltera通过分析掠肉鱼与食用鱼之间的捕食与被捕食关系,首次应用数学模型研究了掠肉鱼与食用鱼之间的捕食与被捕食关系[1-2],解释了在第一次世界大战期间由于捕获量下降而掠肉鱼的比例却大幅度增加的现象。(剩余10186字)