注册帐号丨忘记密码?
1.点击网站首页右上角的“充值”按钮可以为您的帐号充值
2.可选择不同档位的充值金额,充值后按篇按本计费
3.充值成功后即可购买网站上的任意文章或杂志的电子版
4.购买后文章、杂志可在个人中心的订阅/零买找到
5.登陆后可阅读免费专区的精彩内容
打开文本图片集
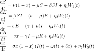
0 引言
由于医疗技术的进步和卫生条件的改善,天花、脊髓灰质炎、疟疾等严重危害人类健康的传染病已得到了有效控制[1-2]。然而,仍有一些传染病因为疫苗接种率下降而面临着重新暴发的潜在风险[3-4],21世纪二十年代百日咳和19 世纪九十年代腮腺炎、麻疹、风疹等疾病的重新暴发都给我们敲响了警钟[3-5]。(剩余9092字)
登录龙源期刊网
购买文章
接种行为影响下疾病暴发的早期预警信号研究
文章价格:5.00元
当前余额:100.00
阅读
您目前是文章会员,阅读数共:0篇
剩余阅读数:0篇
阅读有效期:0001-1-1 0:00:00