注册帐号丨忘记密码?
1.点击网站首页右上角的“充值”按钮可以为您的帐号充值
2.可选择不同档位的充值金额,充值后按篇按本计费
3.充值成功后即可购买网站上的任意文章或杂志的电子版
4.购买后文章、杂志可在个人中心的订阅/零买找到
5.登陆后可阅读免费专区的精彩内容
打开文本图片集
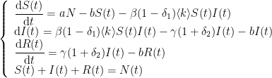
0 引言
传染病长期以来一直对人类健康构成严重威胁,因此传染病的预防和控制一直是全球社会持续面临的紧迫挑战。1926 年,Kermack 和McKendrick提出了著名的SIR仓室模型,在传染病演化过程中将个体分为易感者,感染者和恢复者三种状态;此模型被广泛应用于流行病学研究中,并一直在不断发展[1]。(剩余8917字)
登录龙源期刊网
购买文章
复杂网络上双向免疫对传染病传播的影响
文章价格:5.00元
当前余额:100.00
阅读
您目前是文章会员,阅读数共:0篇
剩余阅读数:0篇
阅读有效期:0001-1-1 0:00:00