注册帐号丨忘记密码?
1.点击网站首页右上角的“充值”按钮可以为您的帐号充值
2.可选择不同档位的充值金额,充值后按篇按本计费
3.充值成功后即可购买网站上的任意文章或杂志的电子版
4.购买后文章、杂志可在个人中心的订阅/零买找到
5.登陆后可阅读免费专区的精彩内容
打开文本图片集
0 引言
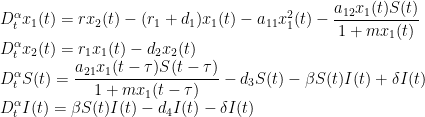
在对生态传染病所做的研究中,大部分文献是对单种群生态模型进行讨论。在自然界中,种群并非单独存在,它们每时每刻都在与其他种群进行生存环境和食物资源的竞争,因此传染病可以在多个种群之间进行传播[]。文献[2]-[4]研究染病捕食者死亡后成为新有病食饵的生态流行病模型稳定性。生活中生物的生长都需经历从幼年到成年两个过程,文献[5]-[6]研究具有饱和发生率的阶段结构生态流行病模型,侧重讨论模型在平衡点处的稳定性和hopf分支。(剩余5906字)
登录龙源期刊网
购买文章
阶段结构分数阶生态流行病模型的稳定性分析
文章价格:5.00元
当前余额:100.00
阅读
您目前是文章会员,阅读数共:0篇
剩余阅读数:0篇
阅读有效期:0001-1-1 0:00:00