注册帐号丨忘记密码?
1.点击网站首页右上角的“充值”按钮可以为您的帐号充值
2.可选择不同档位的充值金额,充值后按篇按本计费
3.充值成功后即可购买网站上的任意文章或杂志的电子版
4.购买后文章、杂志可在个人中心的订阅/零买找到
5.登陆后可阅读免费专区的精彩内容
打开文本图片集
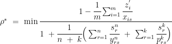
关键词:绿色经济;效率评价;动态;静态;高质量发展DOI:10.13783/j. cnki. cn41 -1275/g4.2025.05.004中图分类号:F124 文献标识码:A 文章编号:1008-3715(2025)05-0018-05
一、引言
绿色经济是人与自然和谐相处的新经济发展方式,具有低污染、低排放、高效益和包容性等特点,与我国“绿水青山就是金山银山”理念一脉相承,是推进我国经济高质量发展的重要路径。(剩余7567字)
登录龙源期刊网
购买文章
基于超效率DEA模型的绿色经济发展效率评价
文章价格:5.00元
当前余额:100.00
阅读
您目前是文章会员,阅读数共:0篇
剩余阅读数:0篇
阅读有效期:0001-1-1 0:00:00