注册帐号丨忘记密码?
1.点击网站首页右上角的“充值”按钮可以为您的帐号充值
2.可选择不同档位的充值金额,充值后按篇按本计费
3.充值成功后即可购买网站上的任意文章或杂志的电子版
4.购买后文章、杂志可在个人中心的订阅/零买找到
5.登陆后可阅读免费专区的精彩内容
打开文本图片集
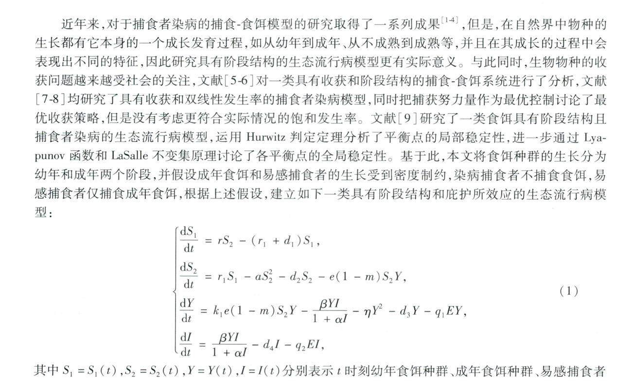
摘 要: 讨论了一类具有阶段结构和庇护所效应的生态流行病模型,假设疾病仅在捕食种群之间传播,同时考虑了饱和发生率,首先利用Routh-Hurwitz判据研究了非负平衡点的局部稳定性,然后通过构造Lyapunov函数并结合LaSalle不变集原理得到了平衡点全局渐近稳定的充分条件,最后利用Pontryagin最大值原理研究了最优收获策略。(剩余2651字)
登录龙源期刊网
购买文章
具有阶段结构的生态流行病模型的定性分析及最优收获问题
文章价格:3.00元
当前余额:100.00
阅读
您目前是文章会员,阅读数共:0篇
剩余阅读数:0篇
阅读有效期:0001-1-1 0:00:00