中小企业管理与科技·上半月

中小企业管理与科技·上半月

2025年09期
  • 收藏
收藏成功
微博 空间 微信
《中小企业管理与科技》杂志是广大经济界、管理界、科技界、理论界人士进行学术探讨、理论研究和实践经验交流的最佳平台。栏目开...     展开

类型

月刊

类别

商业财经
定价
促销信息
全年订阅更优惠!
¥30.00 ¥18.00
目录

热点

畅通经济循环 凝聚创新合力
习近平总书记强调:“扎实推动科技创新和产业创新深度融合”“建立全国统一的市场制度规则,促进商品要素资源在更大范围内畅通流动”。 7月30日召开的中共中央政治局会议指出:“加快培育具有国际竞争力的新兴支柱产业”“纵深推 进全国统一大市场建设”...
筑牢经济底盘 夯实发展支撑
大国经济,有其“大”,亦有其“重”。 2024年粮食总产量迈上1.4万亿斤新台阶;今年上半年进出口规模站稳20万亿元台阶,创历史同期新高;“十四五”规划的102项重大工程,预计年底前全部完成规划目标……沉甸甸的数字,一头连着国计、一头连着民...

政策速递

关于推进绿色低碳转型加强全国碳市场建设的意见
碳市场是利用市场机制积极应对气候变化、加快经济社会发展全面绿色转型的重要政策工具。目前,我国已建立重点排放单位履行强制减排责任的全国碳排放权交易市场和激励社会自主减排的全国温室气体自愿减排交易市场。为推动建设更加有效、更有活力、更具国际影响...
解读《关于推进绿色低碳转型加强全国碳市场建设的意见
碳市场是利用市场机制积极应对气候变化、加快经济社会发展全面绿色转型的重要政策工具。中共中央办公厅、国务院办公厅《关于推进绿色低碳转型加强全国碳市场建设的意见》25日对外公布。 生态环境部相关负责人表示,这一文件充分彰显了我国积极稳妥推进碳达...
关于深入实施“人工智能+”行动的意见
为深入实施“人工智能+"行动,推动人工智能与经济社会各行业各领域广泛深度融合,重塑人类生产生活范式,促进生产力革命性跃迁和生产关系深层次变革,加快形成人机协同、跨界融合、共创分享的智能经济和智能社会新形态,国务院于2025年8月2...
解读《关于深入实施“人工智能+”行动的意见》
近日,国务院印发《关于深入实施“人工智能 + ;行动的意见》(以下简称《意见》)。国家发展改革委有关负责同志就《意见》接受采访,回答了记者提问。 问:《意见》出台的背景是什么? 答:党中央、国务院高度重视人工智能发展,近年来完善顶层设计、加...

访谈

高质量完成“十四五"规划系列主题新闻发布会
2025年9月9日上午,国务院新闻办公室举行“高质量完成‘十四五’规划”系列主题新闻发布会。工业和信息化部部长李乐成、副部长辛国斌、副部长张云明出席新闻发布会,介绍“十四五”时期大力推进新型工业化,巩固壮大实体经济根基有关情况,并答记者问。...

资讯

创业板上市公司增长动能强劲
日前,创业板上市公司2025年上半年“成绩单"出炉。截至2025年8月31日,创业板1384家上市公司披露2025年半年度报告。 从整体看,创业板上市公司上半年营收净利润增速领跑A股市场。1384家创业板公司合计实现营业收入2.0...
构建"产业大脑+共享工厂"数字化平台河北省启动实施产业大脑培育工程
近日,河北省工信厅启动实施产业大脑培育工程。该工程旨在提升企业数字化水平、提高政府治理数字化水平和产业资源协同配置效率。 产业大脑是依托河北省优势产业集群、重点园区,聚焦重点产业,以工业互联网平台为基础,以企业数字化转型为牵引,以建设产业链...

探索研究

数字化转型如何影响企业财务优化
【摘要]论文旨在探究数字化转型、科技投资与企业财务优化间的作用机制,重点检验科技投资的中介角色及财务资源的调节效应。采用面板数据,通过构建回归模型,结合Bootstrap法与层级回归等方法展开分析。结果显示,数字化转型正向影响科技投资规模,...
福建省房地产经济与建筑经济协同效应评价研究
【摘要】论文基于产业关联理论和协同理论,运用福建省2022—2024年面板数据,构建房地产经济与建筑经济协同效应评价指标体系,采用VAR模型和格兰杰因果检验,实证分析两大经济系统在市场调整期的互动机制和协同效应水平。研究发现: ① 房地产开...
基于时序全局因子模型的国有僵尸企业形成机制分析
【摘要]论文利用2007—2022年中国上市公司数据,构建时序全局因子模型和面板动态Logit模型,实证检验国有僵尸企业的形成机制。研究表明:国有僵尸企业与资产负债率、银行借款占比、大股东持股比例、企业规模、外部支持力度呈显著正相关;与总资...
中国三大产业ESG效率的静态与动态演变:基于共同前沿理论和Malmquist指数分析
【摘要】论文运用共同前沿和组间前沿理论,结合DEA模型与全局Malmquist指数,系统分析了2012—2023年中国三大产业 ESG效率演变。研究发现,整体ESG效率呈现"先降后升"趋势,由绿色理念深化及技术进步的协同...
基于Stacking集成学习的企业财务风险预警研究
【摘要]在全球化和市场竞争日益严峻的背景下,企业面临的经营风险日益增加,能够及时预测出企业财务风险显得尤为重要。论文构建了一个通过 Stacking集成学习融合多个单一机器学习模型的企业财务风险预警模型。首先,论文从制造业企业的各类财务指标...
企业员工职业生涯末期面对智能挑战的焦虑及应对策略研究
【摘要】随着人工智能和数字技术在企业中的广泛应用,职业生涯末期的员工面临着前所未有的智能挑战。这些员工往往由于技能老化和对新技术的适应能力较差而感到焦虑,这影响了他们的工作积极性以及知识和技能的传承。论文通过构建理论模型,并采集相关数据进行...

管理论坛

政策支持对中小企业科技成果转化的影响研究
【摘 要】论文聚焦政策支持对中小企业科技成果转化的影响,基于创新生态系统理论和政策工具理论,系统分析财政补贴、税收优惠、科技金融等现有政策的实施效果,深入探讨政策在落实过程中存在的覆盖范围有限、协同性不足、执行效果待提升等问题。研究表明,政...
企业核心人才流失预警与保留策略研究:基于能力模型缺口分析的视角
【摘 要】论文植根于人岗匹配、人与组织匹配及职业锚理论,创新性地引入“能力模型缺口分析"视角,构建涵盖现有能力(C)战略需求能力(S)个体发展期望(A)的三维分析框架,系统识别核心人才流失的潜在能力发展瓶颈与错配风险(S-C、A-...
电子制造企业科研项目成本核算与产品定价协同机制研究
【摘要】电子制造企业作为新质生产力的核心载体,其科研项目具有技术密集、投入周期长、多主体协同等特征,全周期成本核算与产品定价的协同水平影响资源配置效率与市场竞争力。论文针对当前行业面临的“隐性成本捕捉不足、技术与成本耦合性弱、跨部门协同机制...
国有能源企业青年数字化人才梯队建设机制研究
【摘要】在数字经济与能源行业深度融合的背景下,国有能源企业数字化转型加速推进,但面临青年数字化人才储备不足、培养体系不完善等挑战,制约转型质效提升。为此,论文围绕国有能源企业青年数字化人才梯队建设机制展开研究,通过分析转型需求与人才痛点,提...
混合所有制改革背景下国企高管激励契约优化研究
【摘 要】论文主要围绕混合所有制改革展开,研究国企高管激励契约改善问题,先分析改革带来的影响,如股权结构多元化、治理架构变动等带来的新挑战,再分析当前激励契约的激励方式单一、短视化等问题,最后从确立激励目标、丰富激励方式、加强约束机制等方面...
数字化转型背景下企业绩效专员面临的挑战与应对策略研究
【摘要】论文聚焦数字化转型背景下企业绩效专员的挑战与应对策略,分析传统企业绩效专员岗位现状,包括岗位设置不足、员工参与形式化、部门抵触及管理层认知偏差等问题,指出其在专业匹配、办公技能、数据思维和创新能力上的短板。基于此构建“绩效专员能力—...
业财融合视角下电力施工企业EPC项目内部控制优化研究
【摘要】在EPC总承包模式下,电力施工企业承担着项目全生命周期管理职责,进而提高对企业成本控制、资源配置和风险管理的要求。在传统管理方式下,业务与财务部门间存在显著协同壁垒,导致项目成本失控、运营效率低下、风险敞口扩大。论文深入剖析了业财融...
业财融合视角下建筑企业资金管理效率提升路径探索
【摘要]建筑企业面临项目周期长和回款周期延迟的问题,资金管理效率低成为制约企业稳健运营的重要因素。论文先聚焦于业财融合视角提出了财务前置融入业务实现全过程资金统筹,设计了业务财务贯通流程以保障回款与支付高效闭环;接着构建了数字化集成平台用于...
合规管理与风险内控一体化协同管理体系建设的思考
【摘要】在国家治理体系朝着现代化迈进,企业合规监管也不断加强的背景下,合规管理、风险管理以及内部控制的协同效应已经成为提升财务治理效能的主干路径。论文基于三者的主要内涵及其在企业财务管理体系中的交互机理,对当下企业建立协同机制时遇到的四大障...
基于共享服务视角的企业财务信息化管理对策
【摘要随着数字化转型深入推进,财务信息化管理已成为制造企业提升管理效率、增强竞争优势的关键驱动力。论文基于信息化管理理论,深入分析制造企业财务信息化建设的重要意义,系统识别当前财务信息化管理中存在的核心问题,并从信息系统集成、数据治理、流程...
基于多案例的企业数据资产入表路径研究
【摘 要】在大数据时代背景下,企业数据的价值愈发凸显,数据资产入表路径成为企业数据管理的重要环节。数据既具备了基本的战略性资源属性,又具备了关键的生产要素特征,并且正在逐步发展为一种新的重要资产。而将数据资产纳入报表,就是将其视为一种资产来...
分时电价调整的财务表现与ESG协同路径研究
【摘要】分时电价政策是电力市场化改革的重要工具,现行研究主要侧重分时时段划分、电力供需等方向,论文以H省2024年分时电价政策调整为实证案例,创新性结合ESG(环境、社会、治理)框架,深入剖析分时电价调整的财务影响机制及其环境、社会与治理协...
电力物资采购中的供应商评价与选择模型研究
【摘要】在电力行业快速发展及供应链全球化背景下,电力物资采购的供应商评价与选择已成为保障电力企业供应链稳定与高效运营的关键环节。随着绿色低碳转型的深入推进,传统采购模式及评价方法在应对多元化、绿色化及数字化采购需求时逐渐暴露出科学性不足与动...
内控审计中研发费用数据可靠性的验证方法与实践探究
【摘要随着企业研发投入规模的不断扩大,研发费用数据的可靠性日益成为内控审计关注的焦点。为构建系统性的研发费用数据可靠性验证框架,促进企业识别影响数据质量的关键因素,探索有效的验证方法与实践路径,论文从研发费用数据可靠性的影响因素出发,基于验...
业财融合视角下水务企业管理会计转型动因、障碍及实践路径
【摘要]全球经济一体化与中国经济结构转型使企业环境复杂动态,传统财务会计难以满足精细化管控与战略预判需求。业财融合下,管理会计转型是实现业财深度融合的核心,转型动因源于企业战略升级的内在要求、经营决策效能提升的需要、风险管控体系强化的机制及...
在核电工程项目管理中应用Partnering模式的研究
【摘要】为充分发挥Partnering模式在核电工程项目管理中的应用成效,论文基于Partnering模式的优势与核心要素展开分析,阐述核电工程项目管理中Partnering 模式应用面临的多主体责权模糊、技术标准冲突、刚性约束与柔性协调矛...
基于战略目标的制造企业全面预算管理体系构建
【摘要】制造企业在科技、经济和社会发展中占据着基石和引擎的核心地位,其战略目标主要是维持长期稳定且高质量的生产和供应链体系。随着经济全球化的深入推进与市场竞争的日趋激烈,制造企业在实现该战略目标过程中面临巨大挑战。全面预算管理是制造企业实现...
RBA在国有企业经济责任审计中的应用研究
【摘要]国有企业经济责任审计对规范权力运行、促进国有资产保值增值具有关键作用。在风险因素日益复杂、监管要求持续提升的背景下,传统审计方法面临挑战。论文聚焦风险导向内部审计视角,系统研究RBA(Risk-Based Audit,风险导向审计)...
风电行业财务共享与业财融合效率提升路径研究
【摘 要】当前,风电行业在快速扩张与成本压力并存的双重背景下,传统财务管理模式已无法满足精细化管控与战略协同的现实需要。财务共享与业财融合作为企业数字化转型的关键路径,需要在流程、系统、组织与机制层面协同推进。论文立足风电行业特点,分析财务...
区县级国有企业绩效考核存在的问题和对策研究
【摘要】区县级国有企业是地方经济的重要支柱,其绩效考核对提升经营效益意义重大,但仍存在一些问题,以温州市海经区国有企业绩效考核为例,目前存在指标设置不科学、体系不完善、结果应用不足、缺乏差异化等问题。论文系统分析了海经区国企绩效考核现状与问...
国际油价波动下成品油销售企业价格风险管理面临的挑战与应对策略
【摘要】首先,论文阐述国际油价剧烈波动使成品油销售企业价格风险管理成为关键问题这一背景;其次,剖析企业面临的多重挑战,包括地缘政治等因素导致国际油价不确定性增强、国内市场竞争加剧、政策调控导致约束力度加大,以及自身在风险管理、人才及信息系统...
企业审计与财务内控协同效应提升策略研究
【摘要]论文围绕企业审计与财务内控协同效应展开研究,分析了审计监督体系、财务透明度、技术应用及业务管理部门风险防控等方面存在的问题。基于问题导向,深入探讨了资金使用合规性、预算执行监督和项目绩效评价等方面的协同表现。在资金使用合规性方面,审...
ESG表现对企业价值的影响路径研究
【摘要】在“双碳”目标与全球可持续发展议程加速推进的背景下,ESG表现已成为企业长期价值创造的核心驱动力。论文以小鹏汽车为研究对象,结合利益相关者等理论,分析其ESG实践对企业价值的影响路径。研究发现,小鹏汽车通过绿色技术创新、履行社会责任...
会计监督在建筑项目成本控制中的作用
【摘要]论文旨在探讨会计监督在建筑项目成本控制中的作用及其优化路径,围绕成本控制的关键环节,系统分析当前建筑企业存在的监督缺失问题,剖析监督弱化的深层原因。研究表明,完善内部控制制度、提升会计人员专业性、引入信息化手段、建立问责与激励机制等...
人才配置模式对铁路物流企业经营管理效能的影响探讨
【摘要】为明确人才配置模式对铁路物流企业经营管理效能的作用机制,论文以国内32家铁路物流企业为研究对象,通过问卷调查收集486份有效样本,运用SPSS26.0软件开展信效度检验、相关性分析与多元回归分析。研究表明:人岗匹配度、人才结构合理性...
“双碳”视角下电力企业绿色投资的财务风险与应对策略
【摘要】双碳"战略之下,电力行业作为能源供应和碳排放管控的重点领域,正面临着绿色转型和财务稳健的双重考验。绿色投资是推动经济可持续发展的重要途径,但由于这类项目往往具备资本投入高、周期运行长、不确定因素多等特性,使得电力企业在推进...
国有企业预算管理的困境及对策探讨
【摘要】随着市场经济体制持续优化与国有企业改革深入推进,预算管理逐步成为企业治理的核心机制,直接影响国有企业的资源配置效率、风险防控能力与战略实施效果。面对新时代发展要求,国有企业预算管理依然存在观念陈旧、运行模式固化、落实效能不足等瓶颈,...
数字化转型背景下通信企业固定资产风险控制体系重构
【摘要】在通信企业数字化转型持续推进背景下,固定资产管理暴露出数据分散、权责不清、系统割裂、制度滞后等突出问题。论文围绕资产全生命周期管理,研究统一台账构建逻辑,分析资产流转中职责划分不清与数据系统割裂造成的管控障碍,提出基于物联网与边缘计...

科技进步

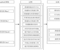
DeepSeek赋能Z世代员工绩效路径研究
【摘 要】生成式人工智能技术的迅猛发展为Z世代员工成为职场主力军提供了新技术和新方法,对其如何赋能Z世代员工的绩效提升进行研究,是管理领域值得关注的问题。论文通过回顾 DepSeek与Z世代员工绩效的既有研究,提出一种 DeepSeek赋能...
数字化转型背景下电力企业财务管理机制研究
【摘要】在数字化转型背景下,电力企业财务管理面临传统模式效率低下、数据孤岛严重等挑战。论文基于制度理论、资源基础观与协同治理理论,分析发电、电网、售电3类企业财务管理数字化转型的差异化机制。论文以华能集团智慧能源数据平台、国网安徽财务共享服...
数字化转型背景下国有企业行政管理面临的挑战与对策
【摘要】在信息化建设稳步推进、数字经济蓬勃发展的背景下,国有企业推进数字化转型已成为大势所趋。论文立足国有企业行政管理工作的实际情况,系统分析了当前国有企业行政管理数字化转型过程中所体现的价值与面临的主要挑战,进而从基础设施、办公系统、组织...
业财融合背景下RPA技术在费用报销流程数字化改造中的应用
【摘要】论文基于业财融合视角,分析了RPA技术在费用报销流程数字化改造中的应用。通过构建完整的理论分析框架,论文深入阐述了业财融合理论要素与RPA技术应用设计原则之间的关联,并借助技术一组织一环境适配性分析模型,强化了现状分析、问题诊断与方...
新质生产力视角下大数据审计的优化路径研究
【摘要】随着我国经济转向高质量发展阶段,以新一代信息技术为核心驱动的新质生产力应运而生,为经济发展打造了新引擎。在此背景下,数字技术的广泛应用加速了企业数字化转型,推动数据量激增,传统审计技术已难以满足数字化审计需求。新质生产力的发展深刻影...

产经视点

数字经济赋能乡村振兴的机理与实践研究
【摘要】当今社会,数字经济的快速发展给各个领域带来了前所未有的变革与发展。其通过赋能乡村产业、乡村生态、乡村劳动力和乡村治理,对我国的乡村振兴产生了革命性影响。论文通过这4个方面构建了数字经济赋能乡村振兴的内在机理,并讨论该机理的实践应用。...
数字经济赋能我国科技创新效能提升路径研究
【摘要】当前,工业革命4.0浪潮席卷全球,科技治理体系和国际竞争格局加速调整。在这一关键时期,提升国家创新效能、加快实现高水平科技自立自强迫在眉睫。数字经济通过深度融合数字技术与创新要素,能够重塑科技创新体系的运行逻辑,为科技创新效能提升带...
广西跨境电商在越南市场的文化适应策略研究
【摘 要】针对广西企业在拓展越南跨境电商市场时面临的语言符号、价值观、行为习惯3个维度的文化壁垒,论文通过剖析广西对越跨境电商发展现状、越南跨境电商市场环境与文化壁垒,最终构建数字驱动的全链条文化适应策略框架。该框架包含前端的品牌共情、产品...
河南省发展低碳经济的路径和对策研究
【摘要]随着气候系统失衡加剧,缓解温室效应、控制碳排放量、发展低碳经济迫在眉睫。河南省作为人口大省、农业大省、交通大省和工业大省,近年来虽然进一步优化了能源结构、创新了减碳技术并使工业与交通实现绿色升级,但仍面临着新能源消纳能力不足及企业转...
江苏省高新技术产业链与创新链协同机制、现状与对策研究
【摘要】高新技术产业链和创新链的协同发展是江苏省着力推进创新驱动发展战略的关键环节,也是打造产业科创高地、推动经济高质量发展的重要路径之一。论文研究分析江苏省高新技术产业链和创新链协同的内在机制,利用《江苏省国民经济和社会发展统计公报》等近...

财税金融

供应链金融赋能中小企业融资的研究
【摘要】中小企业作为国民经济发展的生力军,在促进增长、保障就业、激发创新等方面发挥着不可替代的作用。然而,融资难、融资贵问题始终是制约其发展的主要瓶颈。传统金融机构基于主体信用的授信模式难以有效满足中小企业的融资需求。在此背景下,供应链金融...
业财融合背景下企业财务战略角色转型路径
【摘要】在业财融合成为企业管理深度升级的背景下,财务职能正由传统核算支持向战略引导演进,转型进程中却普遍存在角色认知模糊、路径设计碎片化与制度机制滞后等障碍。论文以“业财融合驱动下企业财务战略角色如何实现有效转型”为核心研究问题,明确“业财...
林业碳汇预期收益权质押融资的机制及实现路径研究
【摘要】林业碳汇预期收益权质押融资作为开创性的融资形式,把潜在的碳汇收益变成可以交易的资本,为生态改良类项目赋予了全新的融资渠道。论文从其理论根基和运行原理出发,选取了福建金森和云南云景林纸这两个典型案例,从其融资过程中的得失情况,剖析该融...
低碳目标下绿色转型对企业财务绩效的影响研究
【摘要]国家明确提出,实现低碳目标是一场广泛而深刻的经济社会系统性变革。在此背景下,绿色转型成为关键领域,火电企业作为主要碳排放源,需遵循政策导向,在电力及煤炭生产中持续关注自身经济效益。论文以大唐发电为例,基于低碳目标,系统分析其绿色转型...
“双碳"背景下新能源企业绿色债券融资效应及策略探讨
【摘要】“绿色金融体系”已经成为当前促进我国金融发展与环境保护结合的重要体系之一,通过绿色债券的发行,我国金融业发展规模不断扩大。并且,新能源产业已成为当前我国社会经济的重要组成部分,实现了生态与经济的有机协调。在这样的背景下,形成了“双碳...
股权激励计划中的财税处理路径探究
【摘 要]论文聚焦于治理结构简单、融资渠道有限的中小企业群体,旨在探究中小企业股权激励计划中的财税处理路径。研究揭示,其实施过程中面临税会计量标准错位、政策适配性不足及实操合规风险积聚三大关键挑战,其中计量错位引发税负不确定性,政策适配性不...
资产租赁业务税务筹划难点与对策
【摘要】资产租赁业务作为企业资源配置的重要方式,其税务筹划对企业财务效益与合规经营具有关键影响。论文聚焦资产租赁业务税务筹划,首先从4个维度阐述其重要意义,其次深入分析当前面临的政策复杂性、租赁类型选择困境、跨区域/跨境协调难题及合规风险等...
数字普惠金融背景下小微企业融资困境与对策研究
【摘要】在数字普惠金融的背景下,小微企业融资问题日益受到关注。通过降低融资成本和提升服务效率,数字普惠金融为小微企业提供了新的发展机遇。然而,数据壁垒、技术能力不足、风险复杂性以及市场信任缺失等问题仍制约其发展。论文提出构建数据共享与信用赋...
供应链金融视角下融资租赁缓解中小企业融资约束的模式与实践
【摘要】中小企业在融资过程中普遍面临信用不足、融资渠道受限、融资成本高和现金流紧张等约束,成为制约其发展的关键因素。随着供应链金融的发展,融资租赁凭借"以租代购"的特征,在缓解融资难题方面展现出价值。论文在供应链金融视角...
相关杂志
  • 环球美酒

    环球美酒

    2025年05期
    ¥16.89
  • 第一财经

    第一财经

    2026年01期
    ¥18.00
  • 财经

    财经

    2025年27期
    ¥20.00
  • 证券市场周刊

    证券市场周刊

    2025年48期
    ¥15.00
  • 中国经济周刊

    中国经济周刊

    2026年02期
    ¥12.00
  • 商界

    商界

    2026年01期
    ¥12.00
  • 21世纪商业评论

    21世纪商业评论

    2025年06期
    ¥6.00
  • 银行家

    银行家

    2026年02期
    ¥48.00
  • 董事会

    董事会

    2025年12期
    ¥24.00
  • 债券

    债券

    2026年01期
    ¥15.60
  • 新财富

    新财富

    2026年01期
    ¥18.00
  • 销售与市场·上旬

    销售与市场·上旬

    2026年02期
    ¥29.80
订阅全年后,您可享受以下权益
①该本杂志即日起至未来1年内所有更新电子版杂志的使用权限;
②赠送该杂志的部分往期的杂志的使用权限,有效期1年。

全年订购价格: ¥216.00

订阅全年
--%>

登录龙源期刊网

温馨提示:

1.点击网站右上角的“充值”按钮可以为您的账号充值

2.充值金额可以选择30,50,100或500元

3.充值成功后即可购买网站上的任意杂志或文章

还没有龙源账户? 立即注册

购买杂志

中小企业管理与科技·上半月

杂志价格:¥18.00元

  • 微信扫码支付
  • 当前余额:100.00

购买杂志

中小企业管理与科技·上半月

杂志价格:¥18.00元

  • 微信扫码支付
  • 当前余额:¥100.00

    去充值
monitor
客服机器人