华东理工大学学报(自然科学版)

华东理工大学学报(自然科学版)

2025年04期
  • 收藏
收藏成功
微博 空间 微信

类型

双月刊

类别

定价
促销信息
全年订阅更优惠!
¥30.00 ¥18.00
目录

研究论文

内源手性二芳基乙烯光调控手性液晶
摘要:胆甾相液晶通常由手性分子加入非手性液晶自组装形成,因具有快速响应及选择性反射特性在光学领域具有重要应用,但目前仍缺乏具有双稳态及大螺旋扭曲力的内源手性光敏分子。本文引入具有优异热稳定性的内源手性光开关二芳基乙烯构建液晶调控体系。首先,...
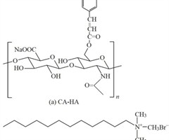
CA-HA/DTAB复合物对CA-HA在磷脂膜表面渗透作用的影响
摘要:随着十二烷基三甲基溴化铵(DTAB)浓度的增加,肉桂酸疏水改性透明质酸(CA-HA)与DTAB通过静电和疏水作用生成4种CA-HA/DTAB复合物(分别表示为CA-HA/DTAB(I)、CA-HA/DTAB(II)、CA-HA/DTA...
二元醇对含烟碱三元体系气-液相平衡的影响
摘要:为探究加热卷烟制品雾化气溶胶主要成分的释放规律,以二元醇(1,2-丙二醇、1,3-丙二醇、乙二醇)为雾化剂构筑的烟碱/水/二元醇、烟碱/丙三醇/二元醇等三元体系为发烟体系模型,利用似导体屏蔽链节活度系数模型(COSMO-SAC)预测了...
硫掺杂沥青基硬碳的制备及其储锂性能研究
摘要:基于共碳化过程中含硫聚合物与沥青的反应性交联以及热解含硫小分子对沥青原料的硫掺杂,以高软化点沥青为原料,二聚环戊二烯与硫单质共聚物作为含硫交联剂,实现了含硫沥青基硬碳材料的制备及其可控硫掺杂,并进行了其储锂性能以及机制研究。结果表明,...
低含水量乙酸废液分离过程的模拟与能耗-经济性分析
摘要:乙酸生产过程中会产生大量废液,对其进行回收是乙酸企业实现节能减排和可持续发展的重要手段之一。针对低含水量的乙酸废液分离和回收问题,本文分别构建了常规精馏、萃取精馏、共沸精馏和热泵精馏共4种不同分离工艺的模拟流程,分析对比了这4种分离工...
FCC油浆基高软化点沥青包覆天然石墨负极材料的电化学性能
摘要:天然石墨来源广泛、成本低廉,并且具有相对较高的比容量以及稳定的嵌/脱锂电位,是目前商业化锂离子电池负极的主要材料。但其存在与有机电解液相容性差,溶剂共嵌入导致石墨层剥离,因而库仑效率和循环性能不理想等问题。本文以催化裂化油浆为原料,通...
基于AHP-CRITIC赋权结合响应面法多指标优选醉鱼草的微波提取工艺
摘要:以蒙花苷、毛蕊花糖苷、金合欢素得率及出膏率为评价指标,通过单因素实验,考察粒度、微波功率、液固比、提取溶剂、提取时间以及提取次数对醉鱼草提取效果的影响;应用Box-Behnken响应面法设计实验,结合层次分析-批判(AHP-CRITI...
基于内容特征KNN回归的零样本口音转换模型
摘要:口音转换(AccentConversion,AC)旨在将源口音语音转换为目标口音语音,并保持源说话人音色和语音内容不变。现有的AC模型缺乏对训练数据分布以外的语音口音转换的泛化性。本文提出基于内容特征k-邻近(kNN)回归的零样本AC...
融合病理图像和基因组学多模态的癌症生存预测
摘要:融合病理图像和基因组学多模态数据进行生存预测有助于提高癌症患者生存预测的准确性,从而为个性化医疗和精准治疗提供更加可靠的依据。为了提高生存预测的准确性,针对病理图像和基因组学两个模态数据,提出了一种基于中期特征融合的生存预测方法,从“...
基于高阶空间交互作用的姿态估计网络
摘要:人体姿态估计是计算机视觉领域的一个重要研究方向。随着深度学习技术的进步,现有的姿态估计模型在预测人体关键点方面已经取得了显著成效,然而,在处理复杂场景如严重遮挡、复杂背景、极端姿态、多尺度变化和光照变化时,这些模型仍然面临挑战,准确度...
基于网格拥挤度的自适应参考点多目标优化算法
摘要:在多目标优化中,对于搜索到的种群要兼顾收敛性和分布性。基于指标的参考点自适应多目标优化算法(AR-MOEA)算法强调IGD-NS指标的最优,算法收敛过程加快,容易陷入局部最优,导致种群不能覆盖到完整的Pareto前沿。本文提出了一种基...
基于交互式进化算法的三维表情动画生成
摘要:三维面部表情动画已广泛融入人们的日常生活,但目前大多数表情生成技术并未考虑到实际用户的偏好。这些方法大多依赖于预先定义的心理原型,限制了其生成丰富且具有表现力的表情动画的潜力。针对这两个问题,本文提出了一种全新的表情动画编码方案,并采...
基于MCSP和SwinTransformer的转录因子结合位点预测模型
摘要:预测转录因子结合位点(Transcription Factor Binding Sites,TFBS)可以帮助识别特定细胞和组织的特异性调控机制,对于理解基因表达调控机制至关重要。现有方法结合DNA的序列和形状信息进行TFBS的预测,...
CRANet:舌象图像分割与分类网络
摘要:中医诊断中,舌诊是一种重要的诊断方法。然而,舌象分析的准确性和效率受主观因素影响较大。本文提出了基于卷积神经网络与注意力机制的舌体分割与分类模型(CRANet),并设计了卷积残差模块(CRBlock)。该模型能够自动对舌体进行分割与特...
基于多保真流变信息元模型的LAOS过程本构方程参数恢复
摘要:为应对复杂流体在大振幅振荡剪切(LAOS)过程中触变弹黏塑性(TEVP)本构模型参数恢复的挑战,尤其在流变样本数据稀缺的情况下,提出了一种多保真流变信息元建模方法。该方法先构建了结合数据、初值和本构方程损失的流变信息神经网络作为基础子...
相关杂志
订阅全年后,您可享受以下权益
①该本杂志即日起至未来1年内所有更新电子版杂志的使用权限;
②赠送该杂志的部分往期的杂志的使用权限,有效期1年。

全年订购价格: ¥108.00

订阅全年
--%>

登录龙源期刊网

温馨提示:

1.点击网站右上角的“充值”按钮可以为您的账号充值

2.充值金额可以选择30,50,100或500元

3.充值成功后即可购买网站上的任意杂志或文章

还没有龙源账户? 立即注册

购买杂志

华东理工大学学报(自然科学版)

杂志价格:¥18.00元

  • 微信扫码支付
  • 当前余额:100.00

购买杂志

华东理工大学学报(自然科学版)

杂志价格:¥18.00元

  • 微信扫码支付
  • 当前余额:¥100.00

    去充值
monitor
客服机器人