注册帐号丨忘记密码?
1.点击网站首页右上角的“充值”按钮可以为您的帐号充值
2.可选择不同档位的充值金额,充值后按篇按本计费
3.充值成功后即可购买网站上的任意文章或杂志的电子版
4.购买后文章、杂志可在个人中心的订阅/零买找到
5.登陆后可阅读免费专区的精彩内容
打开文本图片集
中图分类号:0647.2
文献标志码:A
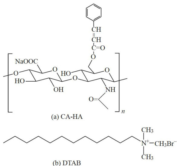
透明质酸(HA)是以 D- -葡萄糖醛酸和N-乙酰葡糖胺重复排列形成的水溶性直链多糖,被广泛应用于食品、化妆品及生物医疗等领域[1-3]。通过化学反应将疏水性天然活性物与HA进行接枝,能够得到天然活性物疏水改性HA,该HA兼具HA和天然活性物原有的生理和健康功效,同时在水溶液及界面表现出特殊的聚集行为[4]。(剩余14853字)
登录龙源期刊网
购买文章
CA-HA/DTAB复合物对CA-HA在磷脂膜表面渗透作用的影响
文章价格:6.00元
当前余额:100.00
阅读
您目前是文章会员,阅读数共:0篇
剩余阅读数:0篇
阅读有效期:0001-1-1 0:00:00