注册帐号丨忘记密码?
1.点击网站首页右上角的“充值”按钮可以为您的帐号充值
2.可选择不同档位的充值金额,充值后按篇按本计费
3.充值成功后即可购买网站上的任意文章或杂志的电子版
4.购买后文章、杂志可在个人中心的订阅/零买找到
5.登陆后可阅读免费专区的精彩内容
打开文本图片集
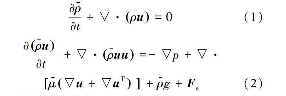
摘 要:狭缝涂布过程形成液膜的厚度分布及稳定性会影响固化后涂层的形态和结构,进而影响产品性能。因为多操作参数耦合影响膜厚分布及稳定性的机理尚不明确,所以有必要对流体流动形态进行研究。通过CFD数值模拟狭缝涂布成膜过程,分析了入口速度、基材移动速度以及流体参数对液膜厚度、均匀性及稳定性的影响,并且使用无量纲法分析了各因素的交互作用。(剩余13279字)
登录龙源期刊网
购买文章
狭缝涂布过程流体流动形态的数值模拟
文章价格:6.00元
当前余额:100.00
阅读
您目前是文章会员,阅读数共:0篇
剩余阅读数:0篇
阅读有效期:0001-1-1 0:00:00