注册帐号丨忘记密码?
1.点击网站首页右上角的“充值”按钮可以为您的帐号充值
2.可选择不同档位的充值金额,充值后按篇按本计费
3.充值成功后即可购买网站上的任意文章或杂志的电子版
4.购买后文章、杂志可在个人中心的订阅/零买找到
5.登陆后可阅读免费专区的精彩内容
打开文本图片集
中图分类号:0436.1 文献标志码:A 文章编号:1000-5137(2025)05-0521-06
0 引言
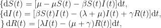
早在18世纪初,人类就开始使用数学模型研究传染病.近年来,数学模型更是成为人们了解流行病动态传播的有力工具[1-2].易感者-感染者-恢复者(SIR)模型[3]把人群划分为:易感人群(S(剩余3941字)
登录龙源期刊网
购买文章
一类具有复发效应的随机传染病模型的动力学分析
文章价格:4.00元
当前余额:100.00
阅读
您目前是文章会员,阅读数共:0篇
剩余阅读数:0篇
阅读有效期:0001-1-1 0:00:00