注册帐号丨忘记密码?
1.点击网站首页右上角的“充值”按钮可以为您的帐号充值
2.可选择不同档位的充值金额,充值后按篇按本计费
3.充值成功后即可购买网站上的任意文章或杂志的电子版
4.购买后文章、杂志可在个人中心的订阅/零买找到
5.登陆后可阅读免费专区的精彩内容
打开文本图片集
中图分类号:X51 文献标志码:B 文章编号:2095-3305(2025)10-0198-03
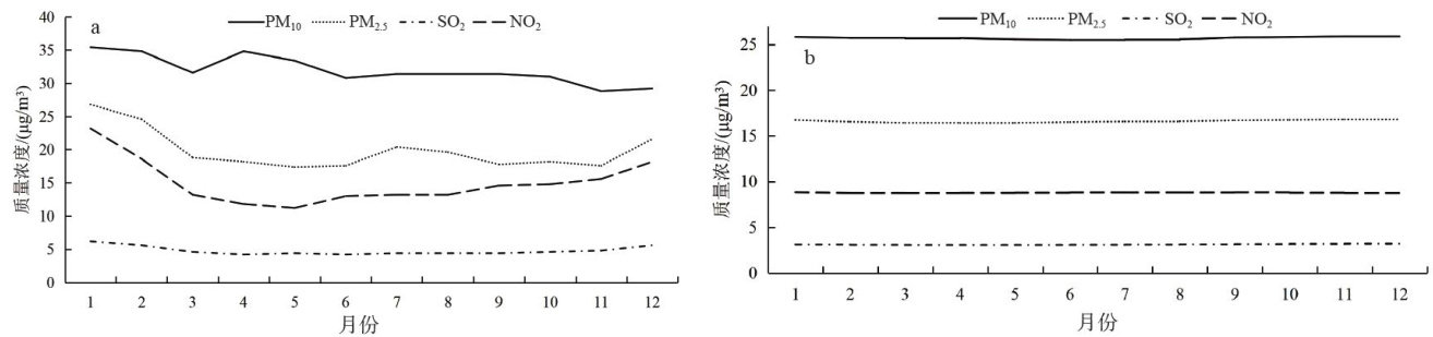
伴随经济高质量发展及城市化进程加快,大气污染问题日趋严峻。以 PM10、P2.5、SO2、NO2 为主要成分所引发的区域性大气污染,已成为国内亟待解决的环境问题。这些主要的污染成分不仅显著降低了大气能见度,还对大众身体健康产生了不良影响[1]。(剩余3720字)
登录龙源期刊网
购买文章
呼伦贝尔市环境空气污染物质量浓度分布特征
文章价格:4.00元
当前余额:100.00
阅读
您目前是文章会员,阅读数共:0篇
剩余阅读数:0篇
阅读有效期:0001/1/1 0:00:00