注册帐号丨忘记密码?
1.点击网站首页右上角的“充值”按钮可以为您的帐号充值
2.可选择不同档位的充值金额,充值后按篇按本计费
3.充值成功后即可购买网站上的任意文章或杂志的电子版
4.购买后文章、杂志可在个人中心的订阅/零买找到
5.登陆后可阅读免费专区的精彩内容
打开文本图片集
中图分类号:TP312;TP301 文献标志码:A 文章编号:1671-0797(2025)22-0064-04
D0I:10.19514/j.cnki.cn32-1628/tm.2025.22.015
0 引言
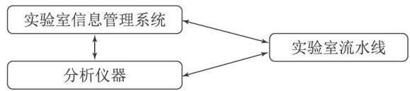
全自动化是临床实验室的发展趋势[,实验室流水线是检验全流程自动化、智能化的基础平台。各种分析仪通过整合后连接到流水线中,完成信息交互、样本检测以及结果上报等功能,是实验室全自动化的重要组成部分。(剩余3363字)
登录龙源期刊网
购买文章
基于串口的医学实验室流水线分析仪接口通信设计研究
文章价格:4.00元
当前余额:100.00
阅读
您目前是文章会员,阅读数共:0篇
剩余阅读数:0篇
阅读有效期:0001-1-1 0:00:00