注册帐号丨忘记密码?
1.点击网站首页右上角的“充值”按钮可以为您的帐号充值
2.可选择不同档位的充值金额,充值后按篇按本计费
3.充值成功后即可购买网站上的任意文章或杂志的电子版
4.购买后文章、杂志可在个人中心的订阅/零买找到
5.登陆后可阅读免费专区的精彩内容
打开文本图片集
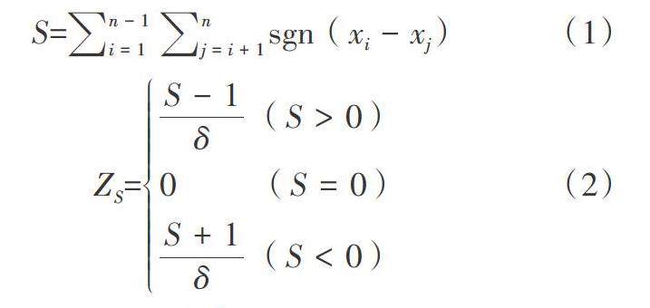
摘 要:【目的】对阳城自然保护区林火活动的特征进行分析,有助于对森林火灾的发生及蔓延做出有效预判,为保护区林火防治工作提供一些基础性建议。【方法】利用2001—2016年阳城自然保护区林火燃烧面积数据,采用Mann-Kendall趋势检验、Morlet小波分析和Pettitt突变点检验等方法,对保护区林火活动的趋势、周期和突变特征进行分析。(剩余6044字)
登录龙源期刊网
购买文章
2001—2016年阳城自然保护区林火活动变化特征分析
文章价格:5.00元
当前余额:100.00
阅读
您目前是文章会员,阅读数共:0篇
剩余阅读数:0篇
阅读有效期:0001-1-1 0:00:00