注册帐号丨忘记密码?
1.点击网站首页右上角的“充值”按钮可以为您的帐号充值
2.可选择不同档位的充值金额,充值后按篇按本计费
3.充值成功后即可购买网站上的任意文章或杂志的电子版
4.购买后文章、杂志可在个人中心的订阅/零买找到
5.登陆后可阅读免费专区的精彩内容
打开文本图片集
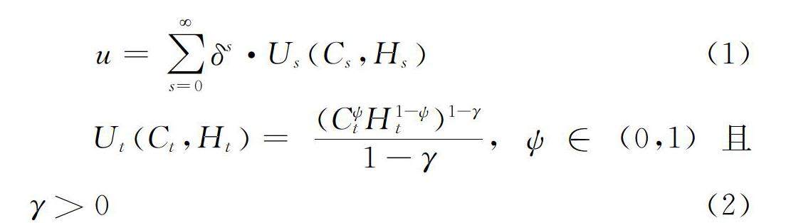
[摘 要] 从童年健康的视角考察个体投资偏好和风险资产配置行为,将健康风险纳入资产选择模型,发现童年健康不佳的个体在金融投资决策和资产配置中往往会更加保守。采用2018年中国健康与养老追踪调查(CHARLS)数据的实证研究发现:童年时期健康状况较差的个体,其成年后持有风险性金融资产的概率和比例均显著降低。(剩余18385字)
登录龙源期刊网
购买文章
风险资产投资的童年诱因
文章价格:6.00元
当前余额:100.00
阅读
您目前是文章会员,阅读数共:0篇
剩余阅读数:0篇
阅读有效期:0001-1-1 0:00:00