注册帐号丨忘记密码?
1.点击网站首页右上角的“充值”按钮可以为您的帐号充值
2.可选择不同档位的充值金额,充值后按篇按本计费
3.充值成功后即可购买网站上的任意文章或杂志的电子版
4.购买后文章、杂志可在个人中心的订阅/零买找到
5.登陆后可阅读免费专区的精彩内容
打开文本图片集
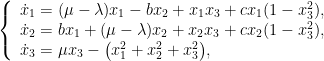
中图分类号:0193 文献标识码:A
0 引言
三维自治非线性系统是非线性科学的一个重要研究领域[1-2]。这类系统的数学形式相对简洁,但其行为却表现出极高的复杂性,尤其是当一个或多个分岔参数发生变化时,系统可能展示出周期解、混沌解等多种复杂现象[3-4]。其中,关于混沌现象的研究揭示了自然界和人类社会中普遍存在的复杂性和不可预测性,因此混沌理论被称为20世纪物理学的三大革命之一[5]。(剩余11568字)
登录龙源期刊网
购买文章
广义Hopf-Langford系统的复杂动力学研究
文章价格:6.00元
当前余额:100.00
阅读
您目前是文章会员,阅读数共:0篇
剩余阅读数:0篇
阅读有效期:0001-1-1 0:00:00