注册帐号丨忘记密码?
1.点击网站首页右上角的“充值”按钮可以为您的帐号充值
2.可选择不同档位的充值金额,充值后按篇按本计费
3.充值成功后即可购买网站上的任意文章或杂志的电子版
4.购买后文章、杂志可在个人中心的订阅/零买找到
5.登陆后可阅读免费专区的精彩内容
打开文本图片集
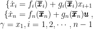
中图分类号:TP273 文献标识码:A DOI:10.3969/j.issn.1007-791X.2025.05.007
0 引言
非线性系统在实际应用中广泛存在,例如机械臂系统[1]、飞行器系统[2和电力系统[3等。由于任务需求和安全因素的考虑,许多实际系统要求满足各种约束条件。当系统不满足约束时,可能会导致系统性能下降,甚至引发系统的不稳定。(剩余17052字)
登录龙源期刊网
购买文章
基于补偿机制的延迟约束非线性系统的动态事件触发控制
文章价格:6.00元
当前余额:100.00
阅读
您目前是文章会员,阅读数共:0篇
剩余阅读数:0篇
阅读有效期:0001-1-1 0:00:00