注册帐号丨忘记密码?
1.点击网站首页右上角的“充值”按钮可以为您的帐号充值
2.可选择不同档位的充值金额,充值后按篇按本计费
3.充值成功后即可购买网站上的任意文章或杂志的电子版
4.购买后文章、杂志可在个人中心的订阅/零买找到
5.登陆后可阅读免费专区的精彩内容
打开文本图片集
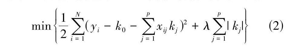
关键词:温室风口;逐步回归;预测;Lasso;自动控制
doi:10.13304/j.nykjdb.2022.0035
中图分类号:S626 文献标志码:A 文章编号:10080864(2023)12010308
黄瓜是设施栽培蔬菜的主要种类之一,其生长对环境温度的要求相对较高,气温过高或者过低都会对黄瓜正常生长发育造成影响,最终导致减产[1-3]。(剩余4734字)
登录龙源期刊网
购买文章
基于环境因子的设施黄瓜通风控制模型
文章价格:4.00元
当前余额:100.00
阅读
您目前是文章会员,阅读数共:0篇
剩余阅读数:0篇
阅读有效期:0001-1-1 0:00:00