注册帐号丨忘记密码?
1.点击网站首页右上角的“充值”按钮可以为您的帐号充值
2.可选择不同档位的充值金额,充值后按篇按本计费
3.充值成功后即可购买网站上的任意文章或杂志的电子版
4.购买后文章、杂志可在个人中心的订阅/零买找到
5.登陆后可阅读免费专区的精彩内容
打开文本图片集
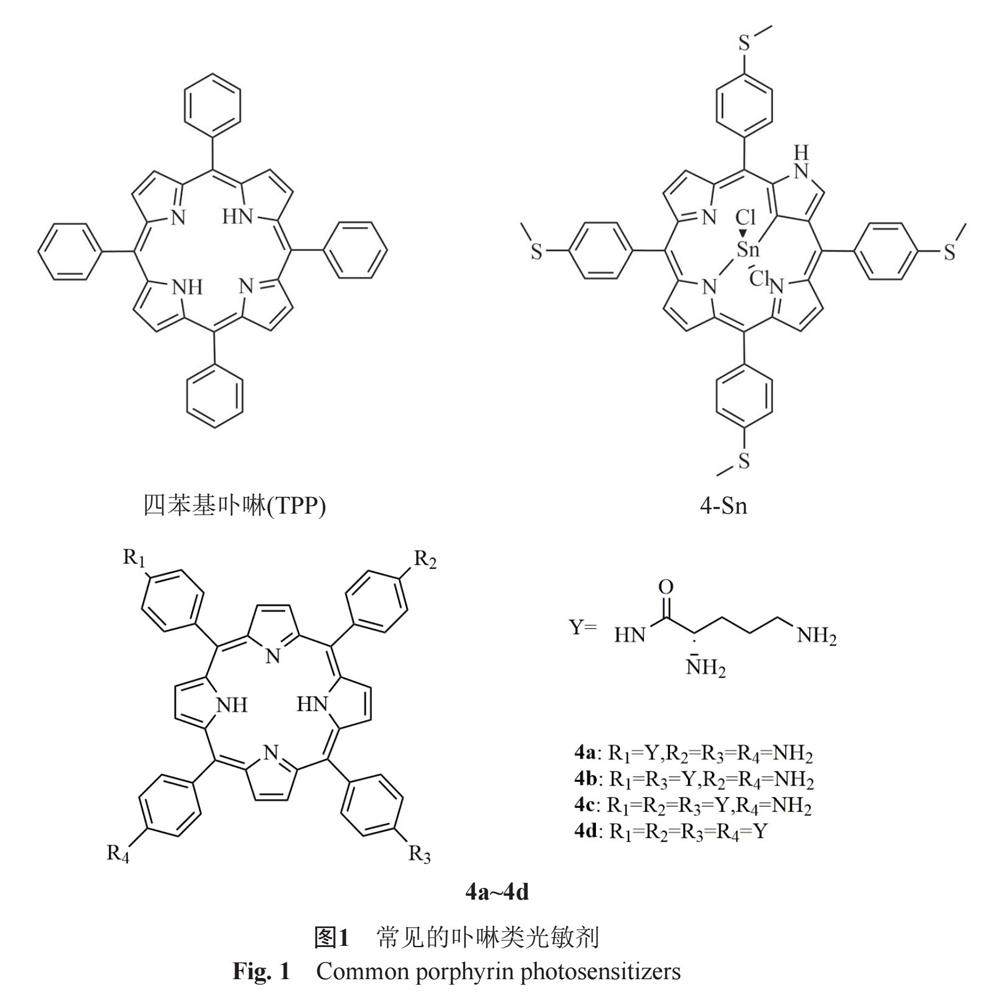
摘要:细菌广义上是一类个体微小、结构简单、生命力顽强的原核生物。它与人类的生活息息相关,是许多疾病的病原体。随着抗生素的滥用,越来越多的细菌产生了耐药性,甚至有的细菌获得了多重耐药性,导致临床上出现了用药困难的世界性难题,因此发展新型的抗菌剂已经迫在眉睫。光动力抗菌是一种新型抗菌疗法,其不仅不易产生耐药性,而且抗菌效果更好,是目前最有希望的一种替代疗法。(剩余20951字)
登录龙源期刊网
购买文章
光敏抗菌药物及光敏抗菌材料研究进展
文章价格:6.00元
当前余额:100.00
阅读
您目前是文章会员,阅读数共:0篇
剩余阅读数:0篇
阅读有效期:0001-1-1 0:00:00