注册帐号丨忘记密码?
1.点击网站首页右上角的“充值”按钮可以为您的帐号充值
2.可选择不同档位的充值金额,充值后按篇按本计费
3.充值成功后即可购买网站上的任意文章或杂志的电子版
4.购买后文章、杂志可在个人中心的订阅/零买找到
5.登陆后可阅读免费专区的精彩内容
打开文本图片集
中图分类号:G642.423;O415.5 文献标识码:A
DOI:10.19655/j.cnki.1005-4642.2025.08.004
2020年6月,教育部印发了《高等学校课程思政建设指导纲要》,强调知识传授、能力培养与价值塑造是不可分割的统一体,全面加强课程思政建设,将价值观塑造寓于知识(剩余6791字)
登录龙源期刊网
购买文章
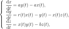
洛伦兹混沌系统实验课程思政教学探索
文章价格:5.00元
当前余额:100.00
阅读
您目前是文章会员,阅读数共:0篇
剩余阅读数:0篇
阅读有效期:0001-1-1 0:00:00