共生理论视角下区域创新生态系统演化特征研究

打开文本图片集
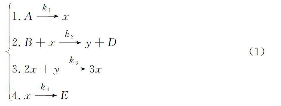
摘 要:基于科学转移思路,将耗散结构理论中的Brusselator经典模型移植到区域创新生态系统演化分析中,同时,结合共生理论,围绕共生单元、结构与模式、网络与环境等生态特征,构建“创新投入—创新环境”要素指标体系,进而运用“全局熵—突变级数”评价模型刻画系统耗散演化过程。基于对2013-2020年我国四大国家级城市群及毗邻省份的区域创新生态系统耗散演化状态进行实证分析,研究发现:①我国四大城市群及毗邻省份的区域创新生态系统是一个开放性系统,同时满足小幅涨落、非线性耦合等耗散结构形成条件;②样本点耗散评价值呈正向演化,说明系统逐步向耗散结构演化,2015—2020年四大城市群及毗邻省份的创新环境(经济、市场、技术)显著优化,对区域创新活力及创新成果转化有积极的促进作用;③样本点区域创新生态系统的耗散演化持续向高区域创新投入—高水平区域创新环境方向发展。(剩余15016字)