新基建投入与科技创新能力耦合协调发展水平测度及时空演进

打开文本图片集
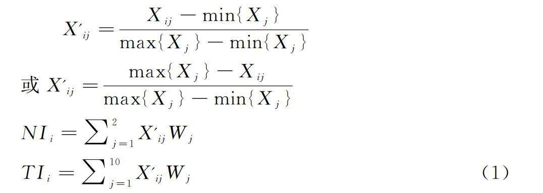
摘 要:基于新基建投入水平与科技创新能力的耦合机理构建综合评价指标体系,运用熵权法、耦合协调评价模型、探索性空间数据分析(ESDA)与标准差椭圆模型,测算2013-2020年中国内地31个省市新基建投入与科技创新能力的耦合协调发展水平,分析其空间集聚水平与时空演化特征。研究结果表明:①新基建投入水平与科技创新能力综合指数逐年提升,呈现由东至西梯度递减分布格局;②各省市新基建投入水平与科技创新能力的耦合协调度渐增,但超过1/2的省市属于耦合失调型,尚未形成良好的耦合发展态势;③新基建投入水平与科技创新能力的耦合协调度呈显著空间正相关性,表现为东部高值集聚区与西部低值集聚区;④耦合协调度空间分布不均衡。(剩余21019字)